6. 以下是 108 課綱高二社會組數學 B 課程的習作題目,以及甲、乙兩生的作圖與計算過程。 請你想像自己是這門課的老師,批改這兩位學生的作答,並說明:
① 兩位學生的作法有哪些錯誤?假設這兩位學生在下課時同時向你詢問為何錯誤及如何訂正,你會如何簡要說明, 讓社會組數學 B 課程的學生能夠立刻理解?
② 在你的教學經驗中,這類的題目還有哪些計算錯誤的樣態?
習作題目:
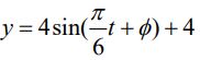
某實驗室以示波器記錄一波在介質中前進時,波隨時間 t (秒)的振動高度 y (公分)如下表。

將這些資料點繪製於坐標平面上並連結起來,觀察其圖形如下圖,可約略看出此圖形與正弦波類似,因此該實驗室選用 y =a sin( ωt+Φ) +k 的函數來描述這筆觀測資料,其中 a >0 、ω>0 、 − π < Φ≤ π。試求: y= asin(ωt+Φ+)+k 。
甲生的作圖與計算過程:
∵最大 = 6,最小 = 2
上移 2 單位,鉛直伸縮 6 倍, ∴a = 6,k = 2。
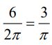
∵ t = 0 跟 6 重複,週期 T = 6
水平伸縮
倍, ∴ 3 ω =
。
∵由圖知右移 6 單位, ∴ Φ= −6,∴
乙生的作圖與計算過程:
∵最大 = 6,最小 = 2
振幅 = a= 6- 2= 4
∵上移 4 單位
k = 4
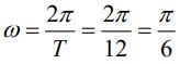
∵過 12 秒數值重複,週期 T = 12 

∴
, ∵過 (0,4) 代入, 
0 =sinΦ
Φ=0,∴
