阿摩線上測驗
登入
首頁
>
技檢◆儀表電子-甲級
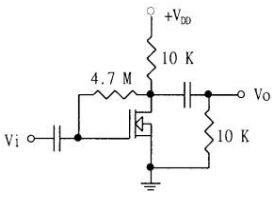
> 114年 - 11500 儀表電子 甲級 工作項目 06:電子電路 1-50(2025/11/04 更新)#133280
114年 - 11500 儀表電子 甲級 工作項目 06:電子電路 1-50(2025/11/04 更新)#133280
科目:
技檢◆儀表電子-甲級 |
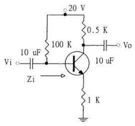
年份:
114年 |
選擇題數:
50 |
申論題數:
0
試卷資訊
所屬科目:
技檢◆儀表電子-甲級
選擇題 (50)
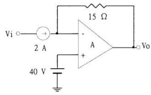
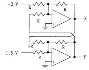
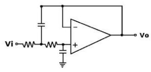
1. 如下圖電路所示,假設理想運算放大器(OP amp)工作於線性區,若Vi=150mV,試求輸出電壓 Vo 值?
(A)–4.60V (B)–5.60V (C)–6.60V (D)–7.60V 。
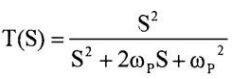
2. 某濾波器的轉移函數
,則此濾波器為何? (A)帶拒濾波器(B)高通濾波器 (C)低通濾波器 (D)帶通濾波器 。
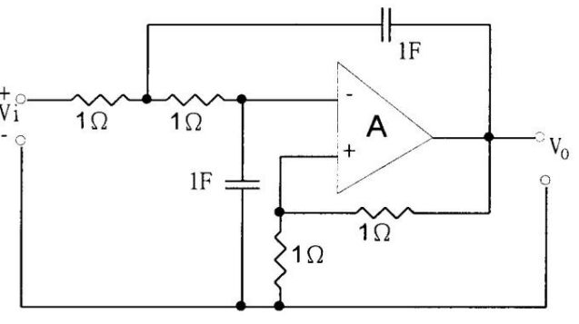
3. 如下圖電路所示,假設圖中之運算放大器 A 為理想運算放大器,則轉移函數 V
o
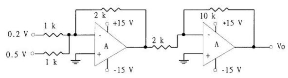
(S)/V
i
(S)為何?
(A)
(B)
(C)
(D)
。
4. 如下圖電路所示,A 為理想運算放大器,R
1
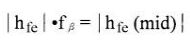
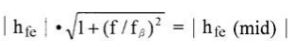
=5kΩ,R
2
=10kΩ,ZD1 及ZD2 分別為 5.1V 及 8.2V 的稽納二極體(Zener diode),其順向導通之壓降約為 0.7V,如果 V
2
=0V,V
1
分別為-6V、+5V 的直流電壓時,則相對應的 V
o
最接近下列何者?
(A)+5.8V、-8.9V (B)–5.8V、+8.9V (C)+8.9V、-5.8V (D)+15V、-15V 。
5. 如下圖電路所示,若電晶體工作於主動(active)區時,V
O
與 V
i
間為何種關係之函數?
(A)自然對數 (B)平方律 (C)立方律 (D)線性 。
6. 如下圖電路所示,A 是理想運算放大器,時間 t=0 時,V
c
(t)=0。若 V
i
(t)=-u(t),u(t)係單位步級函數(unit-step function),則 Vo 的波形應為下列何者?
(A)
(B)
(C)
(D)
。
7. 如下圖電路所示,其頻寬為 1MHz,若 R
1
=1kΩ,R
2
=10kΩ,V
i
(t)=V
m
cos(2π×10
4
×t)伏特,試問放大器 A 之頻寬為多少?
(A)10MHz (B)1MHz (C)100kHz (D)90.9kHz 。
8. 如下圖電路所示,放大器 A 的開迴路增益為 1000,R
S
=R
E
=1kΩ,電晶體的 h
fe
=100,V
BE
可省略,則 I
O
/V
i
=?
(A)0.1mS (B)1mS (C)10mS (D)100mS 。
9. 如下圖電路所示,若 h
fe
=98,h
ie
=1kΩ,則 Z
i
=?
(A)10kΩ (B)50kΩ (C)98kΩ (D)100kΩ 。
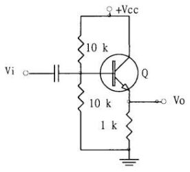
10. 如下圖電路所示,為一射極隨耦器,其中 Q
1
之靜態電流為 200mA,靜態輸出電壓 V
O
=0V,R
L
=50Ω,試求 Q
1
之靜態功率消耗為何?
(A)3W (B)5W(C)7W (D)9W 。
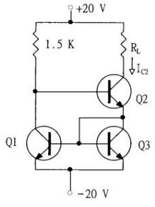
11. 如下圖電路所示,若三只電晶體的特性完全相同,且其β>>1,V
BE
亦等於 0.7V,R
L
=20Ω,則正常工作下 I
C2
=?
(A)14.6mA (B)21.7mA (C)25.7mA (D)30.6mA 。
12. 如下圖電路所示,若電壓增益 V
O
/V
i
為-4.5,則以密勒定理(Miller'stheorem)求其輸入電阻值約為多少?
(A)950kΩ (B)850kΩ (C)750kΩ (D)650kΩ 。
13. 在雙載體接面電晶體(BJT)電路中,何者是因歐萊效應(Eurly effect)所發生的? (A)穿透崩潰 (B)累增崩潰 (C)射極寬度變大 (D)I
C
產生了飽和 。
14. 如下圖電路所示,V
0
為多少?
(A)14V (B)7V (C)1.4V (D)0.7V 。
15. 何種場效電晶體之閘-源極電壓可在正、零、負電壓間動作? (A)N 型 JFET(B)P 型 JFET (C)增強型 MOSFET (D)空乏型 MOSFET 。
16. 如下圖電路所示,欲使輸出為線性三角波,則輸入方波 V
i
的頻率下列何者較適當?
(A)5kHz (B)2.5kHz (C)500Hz (D)50Hz 。
17. 如下圖電路所示,電晶體的β值是 100,V
CC
=+12V,在不失真的條件下,最大輸入正弦波峰值電壓為多少伏特?
(A)3V (B)5V (C)7V (D)9V 。
18. 有三級串接之線性放大電路,若各級電壓增益分別為 40、50 及 50,試問其總分貝電壓增益約為若干? (A)60 (B)80 (C)100 (D)120 。
19. 接面場效電晶體(JFET)用作線性放大器時,汲極對源極之電壓為何種極性? (A)正電壓 (B)負電壓 (C)零電壓 (D)視 P 或 N 通道而定 。
20. 某放大器輸入信號為 10sin10t┼3sin20t 時,其輸出信號為 20sin10t┼5sin20t,此放大器產生了何種失真? (A)相位失真 (B)頻率失真 (C)波幅失真(D)諧波失真 。
21. 如下圖電路所示,其輸出電壓 V
O
=?
(A)8V (B)10V (C)12V (D)14V 。
22. 某放大器,未加回授時之增益為 100,頻寬為 2MHz,今加一回授因數β=0.04 之負回授電路,其頻寬變為多少? (A)400kHz (B)4MHz (C)8MHz (D)10MHz 。
23. 某差動放大器,其共模增益 A
C
=0.2,差模增益 A
d
=2000,則 CMRR 為多少 dB? (A)60 (B)70 (C)80 (D)90 。
24. 有一差動放大器,CMRR=1000,A
d
=200,有兩電壓 100μV 和 50μV 輸入,則輸出電壓 V
o
為: (A)100μV (B)10mV (C)10.025mV (D)10.015mV 。
25. 如下圖電路所示,輸出端 V
o
可表示為何?
(A)
(B)
(C)
(D)
。
26. 如下圖的樞密特觸發電路所示,請問 C 之作用為何?
(A)濾波 (B)讓交流信號通過 (C)加速電容器 (D)平衡兩端電壓 。
27. 若載波功率為 100W,調幅百分比為 75%,則上旁波帶的功率最接近下列何者? (A)14W (B)25W (C)37W (D)75W 。
28. 如下圖交流等效電路所示,若 h
fe
=50,h
ie
=1kΩ,則 Z
i
為多少?
(A)51kΩ(B)52kΩ (C)53kΩ (D)54kΩ 。
29. 如下圖電路所示,I
L
為多少?
(A)10mA (B)20mA (C)30mA (D)40mA 。
30. 欲使一個 N 通道增強型金氧半場效電晶體(MOSFET)工作在飽和區,其偏壓條件為 (A)
(B)
(C)
(D)
。
31. 如下圖電路所示,若
,加上負回授後之電流增益
,則此電路加上負回授後之電壓增益
約為若干?
(A)
(B)
(C)
(D)
。
32. 如下圖電路所示,若
,則電晶體在飽和區工作之條件為何? (A)
(B)
(C)
(D)
。
33. 如下圖波形所示,其有效值電壓 Vrms=?
(A)
(B)
(C)
(D)
。
34. 如下圖電路所示,若二極體為理想二極體,則其 V
i
-V
o
轉換特性曲線為下列何者?
(A)
(B)
(C)
(D)
。
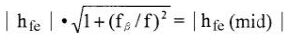
35. 設 h
fe
(mid)為中頻時 CE 放大器之電晶體的 h
fe
,而f
β
為 h
fe
之-3dB 截止頻率,則電流增益 h
fe
隨信號頻率 f 變動之關係為下列何者? (A)
(B)
(C)
(D)
。
36. 如下圖電路所示,為一個LC高頻弦波振盪電路之基本結構,而 Z
1
=jX
1
、Z
2
=jX
2
、Z
3
=jX
3
為純電抗元件,產生振盪時下列敘述何者有誤?
(A)放大器之放大倍數的絕對值為 X
1
/X
2
(B)X
1
+X
2
+X
3
=0 (C)振盪頻率可由X
1
+X
2
+X
3
=0 求得 (D)X
1
與 X
2
須為相同電抗元件,X
3
則為與 X
1
、X
2
相反之電抗元件 。
37. 如下圖電路所示,若 V
BE
=0.7V 且 R
C2
<R
C1
,則此電路之上限觸發電壓V
TU
約為下列何者?
(A)0.7V (B)1.4V (C)3.2V (D)4.6V 。
38. 某功率電晶體其熱阻θ
JC
=5℃/W、θ
CS
=3℃/W、θ
SA
=2℃/W,此功率電晶體之集極接合面所能承受的最高溫度為 200℃,若周圍溫度為 50℃,則此功率電晶體所能安全地散逸之功率為下列何者? (A)1.5W (B)5W (C)10W(D)15W 。
39. 如下圖電路所示,電路 X 點與 Y 點對地的電位分別為 V
X
及 V
Y
,則 V
X
為下列何者?
(A)1V (B)2V (C)3V (D)4V 。
40. 某一差動放大器,輸入之差動信號 Vd=V
1
-V
2
,V
1
及 V
2
為分別由二輸入端之信號,若此差動放大器之共模信號以 Vc 表示,則下列關係何者正確? (A)V
1
=Vc-(Vd/2)、V
2
=Vc+(Vd/2) (B)V
1
=(Vc/2)-Vd、V
2
=(Vc/2)+Vd (C)V
1
=Vc+(Vd/2)、V
2
=Vc-(Vd/2) (D)V
1
=(Vc/2)+Vd、V
2
=(Vc/2)-Vd 。
41. 某二極體之材料常數η=1 其工作點電流為 I
D
,若 V
T
為其工作環境之溫度的伏特當量,則此二極體在工作點時的小信號交流阻抗r為下列何者?(A)V
T
/I
D
(B)I
D
/V
T
(C)I
D
V
T
(D)I
D
+V
T
。
42. 史密特觸發電路做為比較器用時,當其磁滯電壓愈小時,下列敘述何者正確? (A)動作時間愈不準且愈不昜受雜訊影響 (B)動作時間愈準且愈昜受雜訊影響 (C)動作時間愈準且愈不昜受雜訊影響 (D)動作時間愈不準且愈昜受雜訊影響 。
43. 儀器放大器優於一般差動放大器之處,為下列何者? (A)輸入阻抗較低 (B)實務上改變增益時較不影響 CMRR (C)價格低 (D)電路較簡單 。
44. 如下圖電路,為下列何者?
(A)低通主動濾波器 (B)高通主動濾波器 (C)帶通主動濾波器 (D)帶拒主動濾波器 。
45. 下列何者不是電壓隨耦器之優點? (A)Ri 很高、Ro 很低 (B)可減低前級之負載 (C)可增加後級之信號源內阻 (D)電流增益大於 1 。
46. 有一帶通濾波器,其最高增益之頻率為 15kHz,而其-3dB 頻寬為1kHz,則此濾波器之 Q 值為何? (A)5 (B)10 (C)15 (D)20 。
47. 設 f
A
、f
B
分別為低通濾波 A 及高通濾波器 B 之截止頻率,將 A 與 B 串聯,則下列敘述何者正確? (A)若 f
B
>f
A
,且 A 在前 B 在後,可成帶通濾波 (B)若 f
B
>f
A
,且 B 在前 A 在後,可成帶通濾波 (C)若 f
A
>f
B
,則不論誰前誰後,可成帶通濾波 (D)若 f
A
>f
B
,則不論誰前誰後,可成帶拒濾波 。
48. 三階巴特沃(Butterworth)低通濾波器在頻率高於臨界頻率時,其振幅對頻率的下降率為下列何者? (A)-20dB/decade (B)-40dB/decade (C)-60dB/decade (D)-80dB/decade 。
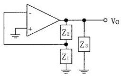
49. 如下圖電路所示,OPA 未加回授前,輸出阻抗為 Z
o
,增益為 A,則 Z
oL
為何?
(A)Zo+[Rf.A/(1+A)] (B)Zo//[Rf.A/(1+A)] (C)Zo.Rf/Ri (D)Zo/A 。
複選題
50. 共集極放大器(CC)又稱射極隨耦器的特性,下列敘述哪些正確? (A)高輸入阻抗,低輸出阻抗 (B)輸出與輸入訊號同相 (C)電流增益=
(D)與其它類型電晶體放大器比較,電壓增益較大 。
申論題 (0)
相關試卷
114年 - 11500 儀表電子 甲級 工作項目 11:成本概論 1-26(2025/11/04 更新)#133290
114年 · #133290
114年 - 11500 儀表電子 甲級 工作項目 10:裝配、測試與檢修知識 1-48(2025/11/04 更新)#133289
114年 · #133289
114年 - 11500 儀表電子 甲級 工作項目 09:儀表電學 101-122(2025/11/04 更新)#133288
114年 · #133288
114年 - 11500 儀表電子 甲級 工作項目 09:儀表電學 51-100(2025/11/04 更新)#133287
114年 · #133287
114年 - 11500 儀表電子 甲級 工作項目 09:儀表電學 1-50(2025/11/04 更新)#133286
114年 · #133286
114年 - 11500 儀表電子 甲級 工作項目 08:嵌入式系統概論與應用及程式設計 51-109(2025/11/04 更新)#133285
114年 · #133285
114年 - 11500 儀表電子 甲級 工作項目 08:嵌入式系統概論與應用及程式設計 1-50(2025/11/04 更新)#133284
114年 · #133284
114年 - 11500 儀表電子 甲級 工作項目 07:數位系統 51-77(2025/11/04 更新)#133283
114年 · #133283
114年 - 11500 儀表電子 甲級 工作項目 07:數位系統 1-50(2025/11/04 更新)#133282
114年 · #133282
114年 - 11500 儀表電子 甲級 工作項目 06:電子電路 51-73(2025/11/04 更新)#133281
114年 · #133281