所屬科目:技檢◆電力電子-乙級
(A)0.69RC (B)101RC (C)2.2RC (D)1.38RC 。
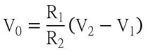
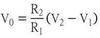
(A)11.4V (B)11V (C)12.6V (D)15V 。
(A)半波整流 (B)保護電晶體 (C)防止雜音 (D)溫度補償的偏壓 。
(A)6V (B)10V (C)12V (D)14V 。
(A) (B)(C)(D)。
(A)(B)(C)(D)。
(A)自動穩壓電路 (B)直流過載保護電路 (C)電晶體整流電路(D)定電流供給電源電路 。
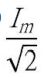
(A)3mA (B)5mA (C)7mA (D)10mA 。
(A)0.6V (B)2.1V (C)4.2V(D)8.4V 。
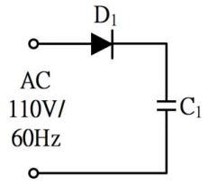
(A)110V (B)156V (C)220V (D)312V 。
(A)低通濾波器 (B)高通濾波器 (C)帶通濾波器 (D)積分器 。
(A)-4V (B)4V (C)-8V (D)8V 。
(A)4mA (B)5mA (C)10mA (D)50mA 。
(A)加速電容器 (B)反交連電容器 (C)偏壓旁路電容器 (D)濾波器 。
q(A)0<θ<90° (B)0<θ<180° (C)0<θ<270° (D)0<θ<360° 。
(A)40% (B)60% (C)70% (D)80% 。
(A)10V (B)15V (C)18V (D)20V 。
(A)高頻響應不足 (B)高頻響應過大 (C)低頻響應不足 (D)低頻響應過大 。
(A)負 4V (B)4V (C)10.7V (D)13.7V 。