阿摩線上測驗
登入
首頁
>
技檢◆電力電子-乙級
> 114年 - 11600 電力電子 乙級 工作項目 05:電子學 51-85(2025/12/12 更新)#134846
114年 - 11600 電力電子 乙級 工作項目 05:電子學 51-85(2025/12/12 更新)#134846
科目:
技檢◆電力電子-乙級 |
年份:
114年 |
選擇題數:
35 |
申論題數:
0
試卷資訊
所屬科目:
技檢◆電力電子-乙級
選擇題 (35)
51. 2N5459 的 JFET,I
DSS
=9mA,V
GS(OFF)
=-8V,則 V
GS
=-4V 時的汲極電流為(A)2.25mA (B)4.5mA (C)9mA (D)13.5mA 。
52. 一個具有下截止頻率為 1kHz 和上截止頻率為 10kHz 的交流放大器,其頻寬為 (A)1kHz (B)9kHz (C)10kHz (D)11kHz 。
53. 下圖所示電路的主要功能為
(A)方波產生器 (B)弦波產生器 (C)三角波產生器(D)電壓最大值偵測器 。
54. BJT 電晶體做開關使用時,應偏壓在_______ 工作。(A)截止區和飽和區 (B)截止區和作用區 (C)飽和區 (D)作用區和逆向區
55. 下列對射極隨耦器之敘述,何者錯誤? (A)輸入電阻很大 (B)輸出電阻很大(C)電壓增益≒1 (D)可做阻抗匹配 。
56. 某放大器的輸入電阻為 10kΩ,負載電阻為 1kΩ,且電流增益為 50,則此放大器的電壓增益為 (A)5 (B)20 (C)50 (D)500 。
57. 下列對電晶體達靈頓電路之敘述,何者錯誤? (A)輸入電阻極大 (B)輸出電阻極小 (C)電壓增益很大 (D)電流增益很大 。
58. 樞密特觸發電路,可將 (A)三角波轉換為方波 (B)方波轉換為弦波 (C)弦波轉換為鋸齒波 (D)方波轉換為三角波 。
59. 下圖所示,若輸入電壓 v
i
為 20V 有效值,則電阻 R
L
端之平均值電壓為
(A)9V (B)18V (C)20V (D)
。
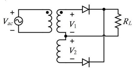
60. 下圖為單相變壓器中心抽頭式全波二極體整流電路,若 V
1
及 V
2
的有效值電壓皆為 12V,則此二極體的最大逆向電壓為
(A)12 (B)
(C)24 (D)
V。
61. 下列關於二極體的特性敘述,何者正確? (A)順向偏壓時,其順向電阻接近零 (B)順向偏壓時,其順向電阻接近無限大 (C)逆向偏壓時,其逆向電阻接近零 (D)二極體具有雙向電流導通的特性 。
62. 某電晶體放大電路,輸入信號置於基極,其集極為輸出,而射極為輸入與輸出信號共用,此放大器電路為 (A)共基極放大電路 (B)共閘極放大電路 (C)共集極放大電路 (D)共射極放大電路 。
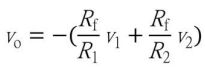
63. 下圖為加法電路,若運算放大器為理想特性,則輸出 v
o
為
(A)
(B)
(C)
(D)
。
64. 某電阻為 10kΩ及電容為 4μF 之串聯電路,其時間常數 T
C
為 (A)25ms (B)10ms (C)20ms (D)40ms 。
65. 下圖所示電路功能為
(A)減法器 (B)放大器 (C)微分器 (D)積分器 。
66. 若有兩級電壓放大器,其增益 A
V
皆為-10,若輸入信號 v
i
(t)=sin ωtmV,則輸出信號為 (A)0.1sin ωt V (B)0.01sin ωt V (C)-0.1sin ωt V (D)-0.01sin ωt V 。
複選題
67. 下列關於理想二極體的特性,哪些正確? (A)順向偏壓時,二極體兩端如同開路 (B)順向偏壓時,二極體兩端如同短路 (C)逆向偏壓時,二極體兩端如同短路 (D)逆向偏壓時,二極體兩端如同開路 。
複選題
68. 下圖所示電路中,若 Q
1
與 Q
2
相同,下列哪些正確?
(A)該電路為無穩態多諧振盪器 (B)頻率約為 0.72÷(RC) (C)該電路為單穩態多諧振盪器 (D)頻率約為 1.4RC 。
複選題
69. 下圖所示電路中,下列敘述哪些正確?
(A)二極體功能為整流 (B)二極體可消除線圈上之反電勢 (C)電晶體用途為開關 (D)電晶體用途為放大器 。
複選題
70. 下列哪些是金氧半場效應電晶體(MOSFET)的接腳名稱? (A)源極(source) (B)基極(base) (C)汲極(drain) (D)閘極(gate) 。
複選題
71. 下列哪些是雙極性接面電晶體(BJT)的接腳名稱? (A)閘極(gate) (B)基極(base) (C)射極(emitter) (D)集極(collector) 。
複選題
72. 下列關於場效應電晶體(FET)之敘述,哪些正確? (A)傳導電流由多數載子負責 (B)傳導電流大小由靜電場控制 (C)載子為電子者是為 P 通道 (D)輸入阻抗一般較雙極性接面電晶體(BJT)高 。
複選題
73. 下列關於金氧半場效應電晶體(MOSFET)特性敘述,哪些正確? (A)N通道增強型之閘源極電壓(V
GS
)需大於臨界電壓(V
T
)才能導通電流 (B)閘源極電壓(V
GS
)為零時,增強型比起空乏型結構上少了通道 (C)P 通道增強型之臨界電壓(V
T
)正值 (D)N 通道空乏型之夾止電壓(V
P
)為負值 。
複選題
74. 下列關於理想運算放大器之敘述,哪些正確? (A)電壓增益無窮大 (B)輸入阻抗無窮大 (C)輸出阻抗為零 (D)頻帶寬度很小 。
複選題
75. 下列哪些是理想運算放大器的特性? (A)共模拒斥比(CMRR)極小 (B)輸入電流不等於零 (C)特性不受溫度影響 (D)電壓增益無窮大 。
複選題
76. 下圖所示電路中,下列哪些敘述正確?
(A)該電路為反相放大器 (B)電路輸入阻抗 Z
i
為 50kΩ (C)V
o
/V
i
=-5 (D)V
o
/V
i
=5 。
複選題
77. 下圖所示電路中,下列哪些敘述正確?
(A)該電路為非反相放大器 (B)電壓增益為 1+(R
2
/R
1
) (C)該電路為反相放大器 (D)電壓增益為 1+(R
1
/R
2
) 。
複選題
78. 下圖所示電路中,下列哪些敘述正確?
(A)該電路為共集極組態放大器 (B)R
E
主要功用是增加電路穩定度 (C)R
E
會降低電壓增益 (D)C
1
及 C
2
可以隔離直流 。
複選題
79. 下列關於肖特基二極體(Schottky diode)之敘述,哪些正確? (A)沒有空乏區 (B)單載子元件 (C)導通電壓低,約 0.3V (D)切換速度慢,不適用50kHz 以上 。
複選題
80. 在雙載子接面電晶體(BJT)中,i
C
為集極電流、i
B
為基極電流、i
E
為射極電流、β
F
為順向電流放大因數,下列哪些正確? (A)i
C
=β
F
i
B
(B)i
C
=(1+β
F
)i
B
(C)i
E
=(1+β
F
)i
B
(D)i
E
=β
F
i
B
。
複選題
81. 下列關於二極體應用之敘述,哪些正確? (A)串聯使用可增加最大電流 (B)並聯使用可增加最大電流 (C)並聯使用可增加最大逆向電壓 (D)串聯使用可增加最大逆向電壓 。
複選題
82. 下列關於接面二極體特性敘述,哪些正確? (A)PN 接面處形成空乏區 (B)具有單向導通特性 (C)逆向電壓下僅有微量漏電流 (D)順向導通電壓遠大於逆向崩潰電壓 。
複選題
83. BJT 電晶體當開關使用時,下列哪些敘述正確? (A)導通時在截止區 (B)導通時在工作區 (C)導通時在飽和區 (D)截止時在截止區 。
複選題
84. 下列關於半導體中電流之敘述,哪些正確? (A)當半導體材料外加電壓時,就會產生飄移電流 (B)半導體內載子若分布不均勻就會產生飄移電流(C)半導體內載子因擴散產生的電流叫做飄移電流 (D)飄移電流是半導體中自由電子及電洞被電場加速所產生 。
複選題
85. 下列關於共射極電晶體放大電路之敘述,哪些正確? (A)信號加於基極,輸出由射極取出 (B)信號加於基極,輸出由集極取出 (C)電壓增益及電流增益都高 (D)電壓增益為負值 。
申論題 (0)
相關試卷
114年 - 11600 電力電子 乙級 工作項目 09:裝備測試與檢修 1-43(2025/12/12 更新)#134852
114年 · #134852
114年 - 11600 電力電子 乙級 工作項目 08:電力電子系統與應用 101-164(2025/12/12 更新)#134851
114年 · #134851
114年 - 11600 電力電子 乙級 工作項目 08:電力電子系統與應用 51-100(2025/12/12 更新)#134850
114年 · #134850
114年 - 11600 電力電子 乙級 工作項目 08:電力電子系統與應用 1-50(2025/12/12 更新)#134849
114年 · #134849
114年 - 11600 電力電子 乙級 工作項目 07:程式設計與微電腦應用 1-31(2025/12/12 更新)#134848
114年 · #134848
114年 - 11600 電力電子 乙級 工作項目 06:邏輯與數位系統 1-61(2025/12/12 更新)#134847
114年 · #134847
114年 - 11600 電力電子 乙級 工作項目 05:電子學 1-50(2025/12/12 更新)#134845
114年 · #134845
114年 - 11600 電力電子 乙級 工作項目 04:電工學 51-117(2025/12/12 更新)#134843
114年 · #134843
114年 - 11600 電力電子 乙級 工作項目 04:電工學 1-50(2025/12/12 更新)#134842
114年 · #134842
114年 - 11600 電力電子 乙級 工作項目 03:儀表及工具使用 1-42(2025/12/12 更新)#134841
114年 · #134841