阿摩線上測驗
登入
首頁
>
技檢◆數位電子-甲級
> 114年 - 11700 數位電子 甲級 工作項目 03:儀表與檢修測試 51-81(2025/12/12 更新)#134856
114年 - 11700 數位電子 甲級 工作項目 03:儀表與檢修測試 51-81(2025/12/12 更新)#134856
科目:
技檢◆數位電子-甲級 |
年份:
114年 |
選擇題數:
31 |
申論題數:
0
試卷資訊
所屬科目:
技檢◆數位電子-甲級
選擇題 (31)
複選題
51. 一般示波器面板上之校正用測試端子之輸出訊號,下列敘述何者正確?(A)波形為正弦波 (B)頻率 1KHz (C)峰對峰值 10V (D)波形為方波 。
複選題
52. 實驗室之儀器須經常做校正,下列何者是根據國際度量衡會議所定義各物理量標準器之四級標準? (A)一級標準 (B)二級標準 (C)三級標準 (D)工作標準 。
複選題
53. 時序分析儀的基本概念,下列何者正確? (A)時序分析儀是邏輯分析儀的一部分 (B)時序分析儀的水平軸代表時間,垂直軸代表電壓振幅 (C)時序分析儀顯示的波形具時間關聯性,故稱時域(time domain)顯示 (D)時序分析儀可以取代示波器之功能 。
複選題
54. 下列敘述何者正確? (A)示波器適合用來查看信號的細微電壓變化 (B)示波器使用狀態序列進行觸發,來查看系統中的信號 (C)邏輯分析儀與示波器皆可以水準狀軸為時間、垂直軸為電壓振幅 (D)示波器能一次擷取及顯示幾百個訊號 。
複選題
55. 有關邏輯分析儀,下列敘述何者正確? (A)與示波器測量功能相同 (B)與數位電表測量功能相同 (C)具時序分析用途 (D)只能測邏輯準位 1 與 0 。
複選題
56. 有關一只 10V 的電壓表,準確度為±2%(f.s),經量測一未知電壓得到的讀數為 5V 時,下列敘述何者正確? (A)誤差值為 2V (B)誤差值為 0.2V(C)誤差百分比為±2% (D)誤差百分比為±4% 。
複選題
57. 有關儀表的使用,下列敘述何者正確? (A)三用電表之 DCV 是用來量測直流電壓 (B)三用電表量測電流時,兩支探棒應該與被量測的電路串聯 (C)指針式三用電表的 DCV 檔靈敏度較 ACV 檔高 (D)三用電表在量測 dB 值時,應撥在 ACV 100V 檔 。
複選題
58. 有關頻譜分析儀之敘述,下列何者正確? (A)主要用來量測某電路的頻率響應 (B)可測出放大器的失真情形 (C)可測出不同頻率的訊號大小 (D)無法測得調諧電路的諧振及頻帶寬度 。
複選題
59. 指針式三用電表的附屬功能,下列敘述何者正確? (A)可以判定電晶體的好壞、接腳的 E、B、C 極性 (B)可以作電解電容好壞的判定 (C)可以測量分貝值(db) (D)可以判定 TTL 積體電路的好壞及接腳 。
複選題
60. 指針式三用電表的內部電池沒電時,還可以測量什麼? (A)電壓值 (B)電流值 (C)分貝值(db) (D)電阻值 。
複選題
61. 有關數位示波器,若即時取樣率為 2GS/s,量化解析度為 8 位元,下列敘述何者正確? (A)受測訊號頻率最高不可超過 1GS/s (B)即時取樣率 1GS/s的示波器,其量化解析度必較高 (C)藉訊號重建法如等時取樣(Equivalent-Time Sampling),可大幅提高有效取樣率到 20GHz (D)14 位元示波器的頻寬較大 。
複選題
62. 使用邏輯分析儀做訊號完整性量測系統時,考慮的關鍵著重在 (A)電壓大小 (B)時序解析度 (C)記錄長度 (D)頻寬與步進響應 。
複選題
63. 有關單接合面場效應電晶體 FET 的測量,下列敘述何者正確? (A)利用 R×1k 檔,其中一極與其他兩腳呈單向導通時,該腳為 G 極 (B)G、S 極量測導通時,若 G 極為黑棒則 FET 為 P 通道 (C)利用 R×1k 檔,G、S 間均具有二極體特性 (D)利用 R×1k 檔,G、D 間均具有二極體特性 。
複選題
64. 有一個五色色碼電阻器,下列敘述何者正確? (A)黑黑棕黑紅其電阻值 10Ω±2% (B)棕黃棕紅棕其電阻值 14.1kΩ±1% (C)綠黑黑黃棕其電阻值 5MΩ±1% (D)灰黑棕紅紅其電阻值 80.1kΩ±20% 。
複選題
65. 當配置訊號線與交流電源線時,下列敘述何者正確? (A)為整齊美觀應用束線帶將其紮在一起 (B)應將訊號線與交流電源線分開並個別用束線帶紮在一起 (C)訊號線宜採用隔離線並遠離交流電源線 (D)將訊號線與交流電源線分開並個別用單芯線紮在一起 。
複選題
66. 有關示波器探針規格敘述,下列何者正確? (A)Bandwidth(ProbeOnly):DC to 3 GHz,-3dB (B)Attenuation Accuracy:>100ps (C)Attenuation:-20dB (D)Rise Time:±3% 。
複選題
67. 檢修電子設備時,下列敘述何者正確? (A)拆卸電子設備時,必須繪圖註記,不可盲目拆卸 (B)修護完畢後將電子設備通電,須以驗電筆測試其外殼,當驗電筆不亮時,必須再把插頭方向上下調換再試一次,以測安全(C)使用三用電表測量電阻時,電器可以通電 (D)電子設備送電時,不需要確定無短路,只要送電時按住開關,若遇異常立刻迅速切斷電源即可 。
複選題
68. 檢修作業中,下列敘述何者正確? (A)焊錫滴落至電路板時,應使用吸錫器清除 (B)焊接溫度太高會產生焊點觸角 (C)更換元件看接腳有氧化物可利用烙鐵高溫直接去除 (D)更換元件必須在電源關閉時作業 。
複選題
69. 有關數位電表,下列敘述何者正確? (A)輸入阻抗 10MΩ (B)大都採用雙斜波式 ADC 轉換器 (C)4 位半之數位電表最大可顯示到 19999 (D)大部分之數位表皆可用來量測電感或電容 。
複選題
70. 有關電子儀表的使用知識,下列敘述何者正確? (A)LCR 表除了測量電感、電容、電阻的大小外,還可測量電感器的損失因素(D 值)及電容器的品質因素(Q 值) (B)以數位 LCR 表測量電感時,其所顯示的電感值會隨著量測頻率不同而有差異 (C)電橋儀表可測量極低電阻、電容與電感值,是根據電位平衡的原理製成 (D)一般 LCR 表的準確度在 0.2%以下,而測量小電感值或小電容值時,宜採用較低頻率(約 10KHz 以下),讀值較準確 。
複選題
71. 下列敘述何者正確? (A)電感器的單位是法拉(Farad) (B)電容器的單位是亨利(Henry) (C)電流的單位是安培(Ampere) (D)照度(illuminance)的單位是勒克斯(LUX) 。
複選題
72. 可變電阻因電阻值分布不同,可分為 A、B、C、D 等四種,其電阻值大小與旋轉角度的關係,下列敘述何者正確? (A)A 為線性變化 (B)B 為對數型 (C)C 為逆對數型 (D)D 為對數型 。
複選題
73. 於 GPIB 自動量測系統中,下列哪些訊號是由控制者(Controller)所發出? (A)ATN (B)IFC (C)REN (D)SRQ 。
複選題
74. 下列敘述何者正確? (A)頻寬為示波器的重要規格之一。但若取樣率不足,頻寬再高也是枉然 (B)示波器頻寬應為輸入訊號振幅衰減至原始振幅時的 50%的頻率區間 (C)示波器可用於量測訊號的波形、週期、頻率及振幅 (D)選擇適當頻寬的示波器時,必須考量待測訊號的電壓範圍 。
複選題
75. 下圖所示,若 A
1
電表之誤差為 2%,A
2
電表之誤差為 1%,下列敘述何者正確?
(A)A
1
電表之誤差值為 0.4A (B)A
2
電表之誤差值 0.1A (C)總電流 I為 30A 誤差 3% (D)總電流 I 為 30A 誤差 1.67% 。
複選題
76. 有關電壓表及電流表之敘述,下列何者正確? (A)測量電壓時,電壓表應與電路並聯 (B)測量電流時,電流表應與電路串聯 (C)理想電壓表其內阻應越大越好,以避免產生負載效應 (D)理想電流表其內阻應越大越好,以避免產生負載效應 。
複選題
77. 有關指針式三用電表,下列敘述何者正確? (A)測量交流電壓時,將開關旋扭轉至 ACV 檔,對於未知電壓測試,應先選擇最高檔測試然後遞減至最佳解析之檔位 (B)測量直流電壓時,將開關旋扭轉至 DCV 檔,對於未知電壓測試,應先選擇最高檔測試然後遞減至最佳解析之檔位 (C)二極體測試時,三用電表撥於 Rx1K 檔,先將測試棒短路做歸零調整,以測試棒分別接觸二極體兩端,若指針指示為低電阻,紅色測試棒端為 P 極,黑色測試棒端為 N 極 (D)喇叭的檢查,三用電表撥於 DCV 檔,測試喇叭線圈的兩端子,指針得到一個歐姆值並有喀、喀聲響 。
複選題
78. 網路分析儀(network analyzer)是一種廣泛應用在微波工業上的儀器,主要用以量測線性微波網路的特性。網路分析儀可分為純量(scalarnetwork analyzer, SNA)和向量(vector network analyzer, VNA)兩類。下列何者是純量網路分析儀能量測到的數據? (A)反射係數的絕對值 (B)電壓駐波比(VSWR) (C)輸入阻抗(Zin) (D)頻率響應 。
複選題
79. 下圖為雙埠網路 S 參數示意圖,下列敘述何者正確?
(A)S
11
代表埠 1 的穿透係數,S
22
代表埠 2 的穿透係數 (B)S
21
代表埠 1 的反射係數,S
12
代表埠2 的反射係數 (C)S
11
代表埠 1 的反射係數,S
22
代表埠 2 的反射係數 (D)S
21
代表埠 1 至埠 2 的穿透係數,S
12
代表埠 2 至埠 1 的穿透係數 。
複選題
80. 網路分析儀內含有信號合成器,下列哪些是合成器所提供的功能? (A)可將信號固定在某一特定頻率上 (B)產生量測所需的射頻源(RF source) (C)可將信號合成器設定在某一掃描頻率範圍內 (D)對待測元件的輸入信號作取樣 。
複選題
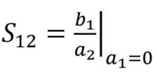
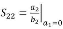
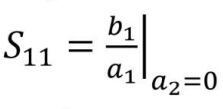
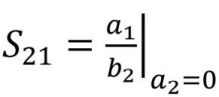
81. 網路分析儀之量測,係使用 S 參數描述待測線性雙埠網路之特性,其矩陣表示式為
,其中, a
1
及a
2
為埠 1(port1)及埠 2(port2)之輸入信號,b
1
及b
2
為埠 1 及埠 2 之輸出信號。有關 S 參數的描述,下列何者正確? (A)
(B)
(C)
(D)
。
申論題 (0)
相關試卷
114年 - 11700 數位電子 甲級 工作項目 10:嵌入式系統 1-57(2025/12/12 更新)#134868
114年 · #134868
114年 - 11700 數位電子 甲級 工作項目 09:網路技術與應用 51-72(2025/12/12 更新)#134867
114年 · #134867
114年 - 11700 數位電子 甲級 工作項目 09:網路技術與應用 1-50(2025/12/12 更新)#134866
114年 · #134866
114年 - 11700 數位電子 甲級 工作項目 08:程式語言 51-89(2025/12/12 更新)#134865
114年 · #134865
114年 - 11700 數位電子 甲級 工作項目 08:程式語言 1-50(2025/12/12 更新)#134864
114年 · #134864
114年 - 11700 數位電子 甲級 工作項目 07:電腦與周邊設備 1-48(2025/12/12 更新)#134863
114年 · #134863
114年 - 11700 數位電子 甲級 工作項目 06:數位系統設計 51-103(2025/12/12 更新)#134862
114年 · #134862
114年 - 11700 數位電子 甲級 工作項目 06:數位系統設計 1-50(2025/12/12 更新)#134861
114年 · #134861
114年 - 11700 數位電子 甲級 工作項目 05:電子學與電子電路 101-145(2025/12/12 更新)#134860
114年 · #134860
114年 - 11700 數位電子 甲級 工作項目 05:電子學與電子電路 51-100(2025/12/12 更新)#134859
114年 · #134859