所屬科目:四技二專統測◆數學B
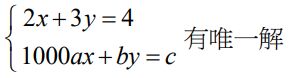
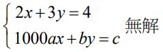
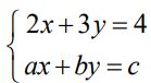
12. 若 abc ≠ 0,且二元一次聯立方程式 有無限多組解,則下列何者正確? (A) (B)(C)(D)
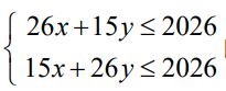
13. 二元一次聯立不等式的圖解為下列何者? (A) (B)(C)(D)
14. 已知 <an>是一個等比數列,公比為3。若x、y、z 皆為正整數,且x、y、z 形成一個公差 為2 的等差數列,則 ax 、 ay 、 az 的關係為下列何者? (A)形成一個等差數列,公差為6 (B)形成一個等差數列,公差為8 (C)形成一個等比數列,公比為8 (D)形成一個等比數列,公比為9
15. 已知某飲品在常溫(20 °C 到35 °C)下的保鮮期會隨溫度變化,保鮮期T(天)與溫度 x(攝氏度)滿足指數函數關係 T (x )=10650×32-0.1x 。若溫度由原來35 °C 降到27 °C,則 保鮮期約為原來35 °C 的多少倍? (A)10 (B)12 (C)14 (D)16
16. 從國家發展委員會人口推估查詢系統可查詢到出生人數折線圖如,2008 年到2025 年出生人數統計值如表 ( 一 )。根據及表 ( 一 ) 中的數據,判斷下列選項何者錯誤?
(A)1976、1988、2000 這三年(龍年)的出生人數相較於其前一年(兔年)、後一年(蛇年)來得多 (B)1970 年到2025 年,出生人數的全距大於30 萬人 (C)2008 年到2016 年,出生人數的中位數為229481 (D)2017 年到2025 年,每一年的出生人數逐年減少
17. 小書把七段LED 燈條擺放在桌面上並固定,如所示。若從這七段全暗的LED 燈條 中,任選不重複的兩段使其發亮,則最多可以呈現出幾種不同的明暗可能(不考慮旋轉 或翻面)?
(A)42 (B)35 (C)21 (D)14
18. 小陸購買一張50 元的遊樂場獎券,可能獲得頭獎到肆獎四種獎項之一或不中獎。已知 獎券中頭獎一萬元的機率是千分之1,中貳獎伍仟元的機率是千分之2,中叄獎壹仟元的 機率是千分之5,以及中肆獎伍佰元的機率是百分之1,試問小陸購買這張獎券獲利的期望值 是多少元? (A)50 (B)20 (C)– 20 (D)– 50
19. 已知tan ( 1847° ) ≈ 1.072、tan ( 2126° ) ≈ – 0.675 以及tan ( 2205° ) = 1.000,則下列何者最可能 為tan ( 2026° ) 之近似值? (A)1.073 (B)1.036 (C)0.999 (D)– 0.775
20. 阿雄想測量農地裡一個稻草人C 到工寮A 的距離,如所示。他先在A 點和田埂上 另一處B 點拉出基準線,測得A、B 兩點的距離為100 公尺,接著測得角度∠CAB = 60°, 以及∠CBA = 75°。試求A、C 兩點的距離為多少公尺?
(A)50( √3 +1) (B)50( √3-1) (C)20( √3 +1) (D)20( √3-1)
21. 探勘人員為確認一個新的優良漁場C 與港口B 的距離,從港口A 直線航行8 公里到漁場 C,此時在C 點經由儀器測定角度得知∠ACB= 60°,且港口A 與港口B 相距7 公里,如圖 ( 五 ) 所示。若B、C 的距離大於4 公里,則B、C 的距離約為多少公里?
(A)5 (B)4.75 (C)4.50 (D)4.25
22. 程式設計師設計了一個「台語文字與拼音」抽卡片換獎品的遊戲,每次都抽五張卡片, 由左而右依序展現在螢幕上,且每一張卡片只會顯示「有ū」或「無bô」。為了讓玩家 都有獎勵,抽出的五張卡片中至少有一張會顯示「有ū」,僅為其中一種可能。 試問螢幕上由左而右的五張卡片,總共有幾種顯示的可能?
(A)32 (B)31 (C)16 (D)5