所屬科目:教甄◆數學
1. a、b、c 為實數, 0≤x≤ 2π ,已知 f (x)= a sin x+b cos x +c 的最大值為 3,最小值為-1,且最大值發生在 時。求 (a+bi ) =_______
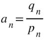
2. 投擲一個均勻的骰子,若擲出 點或 點則不能再投擲骰子,若擲出其他點數則可繼續投擲骰 子,在最多投擲n次的限制下,擲出1點的機率為pn ,求之值=_______
3. 將 1,2,3,…,78,依照下述規律分成 n 組:
第 1 組:1
第 2 組:2,3
第 3 組:4,5,6
第 4 組:7,8,9,10
…
第 n 組:…,77,78
若從這 n 組中以均等的機率選一組後,再從中以均等的機率選出一個數字,則選出的數字小於 20 的 機率為_________(化為最簡分數)
4. 求二拋物線y2=4x與x2=2y-3的公切線方程式。
5. 數列<an> 的一般項為 ,其中pn,qn 均為自然數,若an≤pn≤3 ,請由小到大寫出an 的所有可能值。
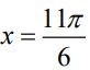
6. f(x)=sinx(1+cosx),0<x<2π的極大值為 M,極小值為m ,求數對 (M,m)。
7. 求 3 tan 10° + 4√3 sin 10° =_________
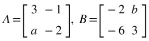
8. ,若aAB=BA ,就n 為正奇數及正偶數兩種情況,分別求 (A− B)n 之值。(Hint:可先觀察A 2、A 2 )
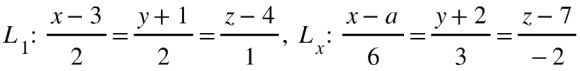
9. 空間中交於一點,求L1,L2 之交角平分線。
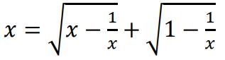
10. 若 x 為實數,解方程式 ,則 x =_________
11. 如圖,∠BAC = ∠PCR = ∠PBQ = 90°, = 3,= 4,∆PCR、∆PBQ皆為等腰三角 形,若 = 5: 3 且 tan∠RPQ = ,則 =_________
12. 如圖,過圓 O 外一點 A 作兩切線且切點為 B、C,另從??上找一點 D 作圓切線且切點 為 F 並交??於 E,若圓半徑為 5,?? = 4,?? = 3,求∆ADE面積為 42
13. ?(?) = 1 1−? ,求?⏟( ? (⋯ ? (2026 ) )) =
14. 設 1 2 < ? < 1,求???8(√? + √2? − 1 + √? − √2? − 1) =
15. 求(√9 3 − √3 3 ) 5 +8(√9 3 − √3 3 ) 3 − 6(√9 3 − √3 3 ) 2 − 9(√9 3 − √3 3 ) 1 + 8 =
16. 平面過 A(1,0,0)與 B(0,2,0),且與 xy 平面夾成 60 角,求平面方程式為__
17. 已知 a、b 皆為正實數,且滿足 b a a b = 與 a b =106 ,則 106 log ( ) ab = _______________(化為最簡分數)
18. 如圖所示,等腰直角 ABC 中, A 90 = ,D 為 BC 的中點, 四邊形 DEFG 為正方形,且點 F 在 AC 邊上,若 BE CG = 3 , BC = 4 ,則正方形 DEFG 的面積為__________
19. 設 R 代表坐標平面上由不等式 2 1 4 0 − − y x 所定義的區域,若函數 f x y x y ( , ) 3 = − 在區域 R 上最 大值為 M,最小值為 m,則數對(M,m)=__________(化為最簡根式)
20. 已知 O 為 ABC 之外心,若 5 3 8 0 AO BC BO CA CO AB + + = ,求 cos A 的最小值=_______