阿摩線上測驗
登入
首頁
>
統計學
> 91年 - 91-2 專技檢覈_交通工程技師:統計學#103746
91年 - 91-2 專技檢覈_交通工程技師:統計學#103746
科目:
統計學 |
年份:
91年 |
選擇題數:
0 |
申論題數:
6
試卷資訊
所屬科目:
統計學
選擇題 (0)
申論題 (6)
一、對一個連續型,正值隨機變數 X,我們定義其風險率函數(Hazard rate function)如下:
其中 f(t),F(t)分別是 X 的機率密度函數(p.d.f)與累積分布函數(c.d.f)。 假如λ(t)是一個常數函數,λ(t) ≡ λ > 0,試決定 X 的分布。(20 分)
二、令 X
1
,⋯,X
n
是一組取自 N(μ,2σ
2
)的隨機樣本(即 iid,獨立同分布)其中μ,σ
2
皆為未知。試導出σ
2
的最大概似估計量(MLE, maximal likelihood estimator)及動差估計量(MME, method of moment estimator)。(20 分)
三、生產部門想要了解作業員完成一件工作平均所需時間。根據過去經驗所需時間的標準差為 50 秒。請問在 95%信賴度之下,至少須要多少樣本才能使估計誤差在 5 秒之內?(z
.025
= 1.96,z
.05
= 1.645)(20 分)
四、就下述資料配適簡單線性迴歸模型: y
i
= α + βx
i
+ ε
i
, i = 1 , … , 6,其中 ε
i
具有獨立同分布的 N(0,σ
2
)後可得
試求 y
5
及 y
6
之值並求出一個σ
2
(ε
i
的變異數)的不偏估計量。(20 分)
(一)設α
i
的最小平方估計式為
,寫下
的公式及求
。(10 分)
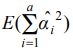
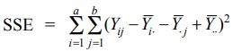
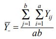
(二)若定義
,此處
,
試求 E(SSE)。(10 分)
相關試卷
115年 - 115 身心障礙特種考試_四等_經建行政:統計學概要#138995
115年 · #138995
115年 - 115 關務特種考試_三等_關稅統計(選試英文):統計學#138987
115年 · #138987
115年 - 115 身心障礙特種考試_三等_統計:統計學#138977
115年 · #138977
115年 - 115 關務特種考試_四等_關稅統計(選試英文):統計學概要#138961
115年 · #138961
115年 - 115 身心障礙特種考試_三等_經建行政:統計學#138960
115年 · #138960
114年 - 114 地方政府公務、離島地區公務特種考試_三等_經建行政、農業行政:統計學#134798
114年 · #134798
114年 - 114 地方政府公務、離島地區公務特種考試_四等_經建行政:統計學概要#134781
114年 · #134781
114年 - 114 地方政府公務特種考試_三等_統計:統計學#134714
114年 · #134714
114年 - 114 地方政府公務特種考試_四等_統計:統計學概要#134710
114年 · #134710
114年 - 114 公務升官等考試_薦任_經建行政、工業行政:統計學#133268
114年 · #133268