阿摩線上測驗
登入
首頁
>
統計學
>
91年 - 91-2 專技檢覈_交通工程技師:統計學#103746
> 申論題
申論題
試卷:91年 - 91-2 專技檢覈_交通工程技師:統計學#103746
科目:統計學
年份:91年
排序:0
申論題資訊
試卷:
91年 - 91-2 專技檢覈_交通工程技師:統計學#103746
科目:
統計學
年份:
91年
排序:
0
題組內容
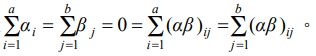
五、二因子設計之真正的統計模式為:
,i = 1, 2, …, a,j = 1 , 2 , … , b 獨立,及
申論題內容
(一)設α
i
的最小平方估計式為
,寫下
的公式及求
。(10 分)