所屬科目:研究所、轉學考(插大)◆普通物理學
1 在波爾原子模型的假設中,哪一個物理量是量子化的? (A)質量 (B)向心力 (C)轉動慣量 (D)速度 (E)角動量
2 一質量為10g的子彈已知其速度為400±4 m/s。請問其位置的最小不確定量為何?(h=6.63×10⁻³⁴ Js) (A)1.67×10⁻³² m (B)1.67×10⁻²¹ m (C)1.67×10⁻¹¹ m (D)3.34×10⁻¹⁰ m (E)3.34×10⁻²⁰ m
3 在雙狹縫實驗中,在中央繞射亮紋中有9條干涉亮紋。則在第二繞射亮紋中有幾條干涉亮紋? (A)7 (B)6 (C)5 (D)4 (E)3
4 光纖的是由一折射率較高(n=1.3)的柱狀結構被折射率較低(n'=1.2)的材質包覆著。若設空氣的折射率為1,最大入射角θ為
(A)π/6 (B)π/3 (C)π/2 (D)π/4 (E)π/5
5 1莫耳的純水在下列何種過程中,熵的改變量最大? (A)從10°C上升至0°C (B)在0°C時,由冰變成水 (C)從0°C的水上升至10°C (D)在100°C時,汽化為水蒸汽 (E)從100°C水蒸汽,上升至110°C
6 鋰原子(Li)核是由3個質子,4個中子組合而成。下列何者質量最小? (A)3個質子加4個中子 (B)鋰原子核 (C)7個中子 (D)7個質子 (E)以上無法比較
7 兩平行導線上載有不同方向的電流,下列何者正確? (A)兩導線因各帶負電荷,故有相互排斥的作用力 (B)兩導線均未帶電,故無任何作用力 (C)兩導線具有相互吸引的磁力 (D)兩導線具有相互排斥的磁力
8 一內部中空的金屬球,內徑0.80 m,外徑1.20 m。金屬球帶電荷-500 nC,另在球心置一點電荷+300 nC,則金屬球內層表面的的表面電荷密度是?C/m² (A)+6×10⁻⁸ (B)-4×10⁻⁸ (C)-6×10⁻⁸ (D)+4×10⁻⁸ (E)0
9 一條導線長度L,半徑r,其電阻是R。有另一條相同材質的導線,長度2L,半徑2r,則它的電阻是 (A)4R (B)R (C)2R (D)0.5R (E)8R
10 一均勻磁場,方向垂直紙面向下,帶負電的質點在此磁場中作等速率圓周運動時,其速度v與所受磁力F的關係為下列何圖? (A) (B) (C)(D)
11 下列有關陰極射線與x射線的敘述,何者正確? (A)兩者的行進均可產生電流 (B)兩者均可受靜電場的影響而偏向 (C)兩者均為電磁波 (D)陰極射線為帶電粒子,x射線為電磁波 (E)陰極射線為電中性的粒子,x射線為帶電的粒子
12 廚房裡有冰箱(110V,1000W)、抽油煙機(110V,100W)、烤箱(110V,200W)。如果把三個電器並聯,而且同時使用,則下列敘述何者錯誤? (A)需要電源電壓為330伏特 (B)總消耗功率為1300瓦特 (C)總供應電流為(1000/110)+(100/110)+(200/110)安培 (D)三個電器同時使用的總電阻,比任何單獨使用時的電阻要小 (E)以上皆非
13 一河流由西流向東方,河寬3L,河水流速7v。南岸一碼頭A,其正對岸點為B,在北岸上B的東方C點與B相距4L。渡船由A航行到C的最短時間為多少L/v? (A)4/7 (B)3/4 (C)1 (D)1/4 (E)1/6
14 質量為m的物體置於水平桌面上與水平桌面間有靜摩擦係數μ。對m施以一與水平夾θ角之拉力F,如θ可以改變,使物體開始運動之最小力為何? (A) (B)(C) (D) (E)
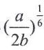
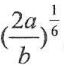
15 一質點以長L之細繩(繩長固定)懸掛在天花板上,質點在一水平面做等速圓運動。如果細繩能承受的最大張力為質點重量的n倍(超過則細繩斷裂),在細繩子不斷裂的情形下,質點最大速度為 (A) (B) (C) (D) (E)
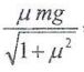
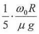
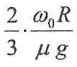
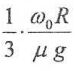
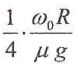
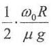
16 雙原子分子之位能U可以下式表示:U(r)=a,其中r為兩原子間之距離,常數a與b為正數。平衡點之距離為 (A)(B)(C) (D) (E)以上皆非
17 ICM=MR²/2的圓盤以ω₀轉動。將其放置到有動摩擦係數μ的水平面(盤面垂直水平面),經過多久後圓盤的純滾動運動才會發生? (A) (B) (C)(D)(E)
18 有一冰山體積是1000 m³密度是920 kg/m³,漂浮在海面上,海水的密度是1025 kg/m³。有企鵝爬到這座冰山上,每隻企鵝50 kg,請問在冰山全部沉入水裡前,最多有幾隻可以爬上來? (A)2100 (B)1840 (C)920 (D)460 (E)230
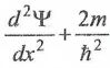
19 無窮深位能井(x≤|L|時U=0;x在其他區域時U=∞)中有一質量為m的粒子,下列何者為其可能具有的能量? (A) (B)(C)(D) (E)
20 有關粒子波函數Ψ(x),下列敘述何者為真? (A)為該粒子在x=a與x=b之間出現的機率 (B)(x)dx=1 (C)Ψ(∞)=∞ (D)(E-U)Ψ=0 (E)Ψ(x)>0
21 固態晶體中,晶格中每一原子在每一個方向(包括X,Y,Z)上有兩個獨立的振動方向。則下列何者為真? (A)U=3nRT/2 (B)U=3nRT (C)比熱C=3R (D)比熱C=3R/2 (E)Cₚ=Cᵥ+R
22 下列何者是兩個光源發生干涉現象必須條件? (A)波長相同 (B)具有同調性 (C)強度相同 (D)波長很長 (E)必須是可見光
23 下圖中的電路,係由一個電池與兩個燈泡組成,其中甲燈泡的電阻是5歐姆,乙燈泡的電阻是7歐姆,則下列敘述何者正確?
(A)通過甲燈泡的電流等於通過乙燈泡的電流 (B)通過甲燈泡的電流大於通過乙燈泡的電流 (C)跨過甲燈泡的電位差等於跨過乙燈泡的電位差 (D)跨過甲燈泡的電位差大於跨過乙燈泡的電位差 (E)跨過甲燈泡的電位差小於跨過乙燈泡的電位差
24 下列敘述何者為真? (A)運動電荷受到磁力的方向,與磁力線之切線方向一致 (B)導電電線受到最強的磁力是當它的方向與磁場平行 (C)導電電線受到最強的磁力是當它的方向與磁場垂直 (D)磁鐵兩端分別是南北兩極,從中切開即可獲得磁單極 (E)磁力僅能改變運動電荷的方向,但是無法改變其能量
25 有一電磁感應實驗裝置,假設開關S原來是關上的,第二線圈中有穩定的電流,第一線圈中沒有電流,現在我們突然打開S,使電流停止,隔一段時間後我們再關上S,使恢復為穩定電流,則在以上各種操作情形下,電流計G中所顯示的電流情形為何?(每行各選一項,共應選三項)
26 下列敘述何者為真? (A)電子是一種電磁波 (B)在真空中x射線傳遞速度與微波速度不同 (C)電磁波帶負電 (D)光波也是一種電磁波 (E)任何電磁波其傳遞速度都一樣
27 猴子質量為9m,抓著細繩的一端,細繩另一端繞過一無摩擦的樹幹後,繫於放置在地面質量為10m的木箱上。設重力加速度為g,則 (A)猴子站在地面上,握緊繩子用力拉時,細繩的最大張力為9mg (B)要使木箱升離地面,猴子需以加速度a(由地面觀測)沿繩子向上攀爬,則a最小為2g/9 (C)在( B )的最小a情況下繩子作用於樹幹之力為20mg (D)當猴子以2g/9(相對於地面)之加速度向上攀爬時,木箱之加速度為0.2g向上 (E)當木箱升離地面一高度後,猴子抓緊繩子停止攀爬,此時木箱之加速度為g/19,向下
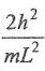
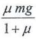
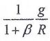
28 假設溜溜球以質心為轉動軸的轉動慣量為ICM=βmR²,其中m為溜溜球質量。溜溜球自靜止釋放且運動過程中拉繩與溜溜球沒有滑動,則
(A)溜溜球的轉動加速度α= (B)溜溜球的質心加速度大小為 (C)拉繩的張力為·mg (D)溜溜球在下降h高度時的速率為 (E)欲使溜溜球轉動,但高度固定,則此時的轉動加速度α=
29 在弦上傳播的行進波的波函數為y(x,t)=3sin(πx+10πt+0.8),x與y的單位是cm,時間t的單位為sec,則 (A)波長為2 cm (B)週期為2 sec (C)波速為1 cm/sec,(-x)方向 (D)弦上粒子最大的速率為30π cm/sec (E)弦上粒子最大的加速度大小為300π² cm/sec²
30 下列敘述何者為真? (A)以垂直盤面的圓盤中心軸為轉軸的轉動慣量如為MR²/2,則將轉軸平移到盤緣的轉動慣量為3MR²/2 (B)將實心球(I=2MR²/5)與圓盤(I=MR²/2)自相同高度的斜坡滾下,則實心球先到達坡底 (C)克普勒(Kepler)第二行星定律:行星與太陽的連線在單位時間內掃得的面積相同,是角動量守恆的結果 (D)力矩(torque)與能量的單位相同 (E)繞地球運行衛星的動能K與位能U的關係為|U|=2K