阿摩線上測驗
登入
首頁
>
電路學
> 94年 - 94-2 專技高考_電機工程技師:電路學#36609
94年 - 94-2 專技高考_電機工程技師:電路學#36609
科目:
電路學 |
年份:
94年 |
選擇題數:
0 |
申論題數:
9
試卷資訊
所屬科目:
電路學
選擇題 (0)
申論題 (9)
【已刪除】一、下圖電路中的兩個開關S1、S2 已經打開很長一段時間了,當開關S1 在t = 0 s閉合 ,開關S2 接著在t = 100 s閉合時,若電容器的初始電壓為v
c
(0) = 10 V,試求t > 0 之i(t)及v
c
(t)的時間響應。(20 分)
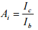
【已刪除】⑴電流放大增益
(5 分)
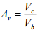
【已刪除】⑵電壓放大增益
(5 分)
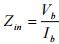
【已刪除】⑶輸入阻抗
(5 分)
⑷將輸入電壓源V
s
移除後,由輸出端看入之輸出阻抗Z
out
(5 分)
⑴若採用正確接線的三瓦特計法做所有負載之實功率量測,則連接至 A、B、C 各 線之瓦特表 PA、PB、PC 之讀數為何?(15 分)
⑵由電源側流向負載側之中性線電流相量為何?(5 分)
【已刪除】四、如下圖所示,試利用重疊定理求出電壓v
o
之值。(20 分)
【已刪除】五、如下圖所示之理想運算放大器電路,圖中的電阻器R
a
、R
b
、R
c
、R
d
均以Ω為單位, 電容器C以F為單位。試求由輸出端看入之等效阻抗Z?(20 分)
相關試卷
114年 - 114 地方政府公務特種考試_三等_電力工程、電子工程、電信工程:電路學#134770
114年 · #134770
114年 - 114 專技高考_電機工程技師:電路學#133707
114年 · #133707
114年 - 114 專技高考_電子工程技師:電路學#133700
114年 · #133700
114年 - 114 公務升官等考試_薦任_電力工程、電子工程、電信工程:電路學#133241
114年 · #133241
114年 - 114 高等考試_三級_電力工程、電子工程、電信工程:電路學#128784
114年 · #128784
113年 - 113-2 國營臺灣鐵路股份有限公司_從業人員甄試_第8階-助理工程師-電機:電路學#137142
113年 · #137142
113年 - 113 地方政府公務特種考試_三等_電力工程、電子工程:電路學#124508
113年 · #124508
113年 - 113 專技高考_電機工程技師:電路學#123962
113年 · #123962
113年 - 113 專技高考_電子工程技師:電路學#123933
113年 · #123933
113年 - 113 高等考試_三級_電力工程、電子工程、電信工程:電路學#121512
113年 · #121512