阿摩線上測驗
登入
首頁
>
電磁學
> 95年 - 095年高等三級暨普通電子工程(高考)#38414
95年 - 095年高等三級暨普通電子工程(高考)#38414
科目:
電磁學 |
年份:
95年 |
選擇題數:
0 |
申論題數:
5
試卷資訊
所屬科目:
電磁學
選擇題 (0)
申論題 (5)
【已刪除】
一、有一電偶極(Electric Dipole)如圖一所示,中心點位於球座標原點,且 d<<R
試,
求 P(R,θ,φ)位置之電位 V,並利用電位求電場
。(20 分)
【已刪除】
二、有一磁偶極(Magnetic Dipole)如圖二所示,中心點位於球座標原點,且 b<
<R,試
求 P(R,θ,π/2)位置之向量磁位
,並利用向量磁位求磁場
。(20 分)
【已刪除】三、試推導證明
,其中 U
e
為電位能。(20 分)
【已刪除】四、圖三是厚度為 d 之介電質板波導(Dielectric-Slab Waveguide),假設各物理量與 x 座標無關,該介電質為無損耗且波沿著+z 方向傳播,試推導:
(奇橫向電場模態 Odd TE Modes) 其中
μ
d
及 ε
d
分別為介電質的介電係數及導 磁係數。(20 分)
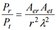
【已刪除】五、試推導證明弗林斯傳輸公式(Friis Transmission Formula)可表示為
其中 P
r
及 P
t
分別為接收功率及傳輸功率,A
er
及 A
et
分別為接收天線及傳輸天線的有 效面積,r 為兩天線的距離,λ為工作波長。(20 分)
相關試卷
115年 - 115 身心障礙特種考試_三等_電子工程:電磁學#138984
115年 · #138984
114年 - 114 地方政府公務特種考試_三等_電子工程、電信工程:電磁學#134740
114年 · #134740
114年 - 114 公務升官等考試_薦任_電子工程、電信工程:電磁學#133233
114年 · #133233
114年 - 114 高等考試_三級_電子工程、電信工程:電磁學#128778
114年 · #128778
113年 - 113 地方政府公務特種考試_三等_電子工程:電磁學#124547
113年 · #124547
113年 - 113 高等考試_三級_電子工程、電信工程:電磁學#121507
113年 · #121507
112年 - 112 地方政府特種考試_三等_電子工程:電磁學#118373
112年 · #118373
112年 - 112 公務升官等考試_薦任_電子工程、電信工程:電磁學#117309
112年 · #117309
112年 - 112 高等考試_三級_電子工程、電信工程:電磁學#115766
112年 · #115766
111年 - 111 地方政府特種考試_三等_電子工程:電磁學#112356
111年 · #112356