阿摩線上測驗
登入
首頁
>
作業研究
> 95年 - 95 高等考試_三級_工業工程:作業研究#33096
95年 - 95 高等考試_三級_工業工程:作業研究#33096
科目:
作業研究 |
年份:
95年 |
選擇題數:
0 |
申論題數:
6
試卷資訊
所屬科目:
作業研究
選擇題 (0)
申論題 (6)
【已刪除】一、某保全公司面臨人力安排的問題。根據過去資料顯示,該公司每天的人力需求如下:
這些員工所需的技能相同,所以每天上班的員工人數只要滿足人力需求即可。因為 員工每天需工作 12 小時,所以公司規定員工每週連續上班四天,然後連續休假三 天。該公司至少需雇用幾位員工,才能滿足每天的人力需求?建立此問題的整數規 劃模式(不必求解)。(25 分)
⑴寫出此問題的整數規劃模式。(10 分)
⑵以動態規劃求解此問題。(15 分)
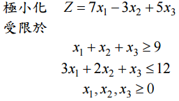
【已刪除】三、以單形法(simplex method)求解以下線性規劃模式,並以大 M 法處理人工變數: (25 分)
⑴以 Vogel 近似法(Vogel’s Approximation Method)建立此運輸問題的起始可行解。 此可行解的運送方式及總運輸成本是多少?(15 分)
⑵以⑴的起始可行解,繼續以運輸單形法(使用階石角法 Stepping Stone Method 或 修正分配法 Modified Distribution Method 均可)求此問題的最佳解。此最佳解之 運送方式及總運輸成本是多少?(10 分)
相關試卷
114年 - 114 地方政府公務特種考試_三等_工業工程:作業研究#134713
114年 · #134713
114年 - 114 專技高考_工業工程技師:作業研究#133680
114年 · #133680
114年 - 114 高等考試_三級_工業工程:作業研究#128750
114年 · #128750
113年 - 113 地方政府公務特種考試_三等_工業工程:作業研究#124521
113年 · #124521
113年 - 113 專技高考_工業工程技師:作業研究#123885
113年 · #123885
113年 - 113 高等考試_三級_工業工程:作業研究#121489
113年 · #121489
112年 - 112 地方政府特種考試_三等_工業工程:作業研究#118325
112年 · #118325
112年 - 112 專技高考_工業工程技師:作業研究#117594
112年 · #117594
112年 - 112 公務升官等考試_薦任_工業工程:作業研究#117328
112年 · #117328
112年 - 112 高等考試_三級_工業工程:作業研究#115450
112年 · #115450