阿摩線上測驗
登入
首頁
>
電磁學
> 96年 - 096年交通事業郵政人員升資電機工程(員級晉高員級)#38565
96年 - 096年交通事業郵政人員升資電機工程(員級晉高員級)#38565
科目:
電磁學 |
年份:
96年 |
選擇題數:
0 |
申論題數:
12
試卷資訊
所屬科目:
電磁學
選擇題 (0)
申論題 (12)
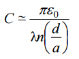
【已刪除】⑴已知兩條半徑為 a 相距為 d 的兩條平行金屬導線間的電容在 a << d 時可表為:
請問一條半徑 a = 1 cm 掛在 12 m 高的 60Hz 765 伏特高壓電纜和地面間的電容為何? (10 分)
⑵請問在此導線正下方地表的電場為多少?這電場是否可以點亮一根 60cm 長 110 伏特的日光燈管?(10 分)
【已刪除】二、請求出如圖所示同軸電纜的單位長度電感的表示式。為簡單起見你可以假設電流只 流在 r = a 和 r = b 的兩個圓柱面上。(20 分)
【已刪除】三、在沒有場源的一個非磁性介質中,若有一電場可以下式表示:
從讓此電場滿足馬克斯威爾方程式組中的兩個旋度方程式的必要條件,試求出相對 應的磁場強度 H 及此介電材料的介電係數。(20 分)
⑴請問此為何種模態的電磁波?(5 分)
⑵請問此模態是傳播模態還是不傳播的消失模態?(5 分)
⑶請問此模式截止頻率 f
c
為何?(5 分)
⑷請問此波的操作頻率 f 為何?(5 分)
⑴請問此傳輸線的最大及最小電壓是多少?(5 分)
⑵請問此最大及最小電壓位在何處?請從負載端算起。(5 分)
⑶請問此傳輸線的最大及最小的阻抗是多少?(5 分)
【已刪除】 ⑷請問傳送到負載的功率為何?(5 分)
相關試卷
115年 - 115 身心障礙特種考試_三等_電子工程:電磁學#138984
115年 · #138984
114年 - 114 地方政府公務特種考試_三等_電子工程、電信工程:電磁學#134740
114年 · #134740
114年 - 114 公務升官等考試_薦任_電子工程、電信工程:電磁學#133233
114年 · #133233
114年 - 114 高等考試_三級_電子工程、電信工程:電磁學#128778
114年 · #128778
113年 - 113 地方政府公務特種考試_三等_電子工程:電磁學#124547
113年 · #124547
113年 - 113 高等考試_三級_電子工程、電信工程:電磁學#121507
113年 · #121507
112年 - 112 地方政府特種考試_三等_電子工程:電磁學#118373
112年 · #118373
112年 - 112 公務升官等考試_薦任_電子工程、電信工程:電磁學#117309
112年 · #117309
112年 - 112 高等考試_三級_電子工程、電信工程:電磁學#115766
112年 · #115766
111年 - 111 地方政府特種考試_三等_電子工程:電磁學#112356
111年 · #112356