阿摩線上測驗
登入
首頁
>
通信系統
> 96年 - 096年升官等、96年關務人員升官等電信工程(薦任)#33742
96年 - 096年升官等、96年關務人員升官等電信工程(薦任)#33742
科目:
通信系統 |
年份:
96年 |
選擇題數:
0 |
申論題數:
11
試卷資訊
所屬科目:
通信系統
選擇題 (0)
申論題 (11)
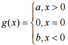
【已刪除】⑴ Hard limiter
(10 分)
⑵ Integer quantizer, g(x) = n for n − 0.5 ≤ x < n + 0.5,n 是整數。答案中能使用 Q(x) 或誤差函數 erf(x)。(10 分)
⑴何謂 Huffman 編碼?(10 分)
⑵在何種條件下,Huffman 編碼能達到來源的 entropy rate?(5 分)
三、請說明如何將一射頻的信號用基頻複變信號來表示?(10 分)
⑴何謂 Correlation-Type demodulator?請圖示其基本結構。(10 分)
⑵何謂 Matched-Filter-Type demodulator?請圖示其基本結構。(10 分)
⑶證明此二型態解調器的輸出完全相同。(5 分)
五、在 AWGN 通道上,若要使 16-PSK 與 8-PSK 達到相同的符號錯誤率,要提高功率多 少倍?(10 分)
【已刪除】六、考慮以下之線性區塊碼(linear block code):
請問此碼的極小 Hamming 距離是多少?(10 分)
七、已知 a(t)之傅立葉轉換是 A(f)。請問 a(t) * a(-t)之傅立葉轉換為何?(10 分)
相關試卷
114年 - 114 地方政府公務特種考試_四等_電信工程:通信系統概要#134755
114年 · #134755
114年 - 114 地方政府公務特種考試_三等_電信工程:通信與系統#134723
114年 · #134723
114年 - 114 公務升官等考試_薦任_電信工程:通信與系統#133270
114年 · #133270
114年 - 114 調查特種考試_三等_電子科學組:通信與系統#129592
114年 · #129592
114年 - 114 高等考試_三級_電信工程:通信與系統#128757
114年 · #128757
114年 - 114 普通考試_電信工程:通信系統概要#128733
114年 · #128733
113年 - 113 地方政府公務特種考試_四等_電信工程:通信系統概要#124540
113年 · #124540
113年 - 113 調查特種考試_三等_電子科學組:通信與系統#122111
113年 · #122111
113年 - 113 普通考試_電信工程:通信系統概要#121514
113年 · #121514
113年 - 113 高等考試_三級_電信工程:通信與系統#121501
113年 · #121501