阿摩線上測驗
登入
首頁
>
作業研究
> 96年 - 96 地方政府特種考試_三等_工業工程:作業研究#32548
96年 - 96 地方政府特種考試_三等_工業工程:作業研究#32548
科目:
作業研究 |
年份:
96年 |
選擇題數:
0 |
申論題數:
12
試卷資訊
所屬科目:
作業研究
選擇題 (0)
申論題 (12)
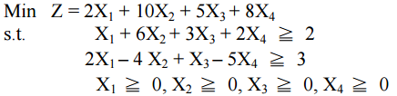
【已刪除】一、考慮下列線性規劃問題:
假設其對偶問題(dual problem)的變數為 y
1
, y
2
,試求對偶問題的最佳解。(16 分)
⑴以西北角法所得到之起始解為何?
⑵以運輸單體法繼續求得之最佳解為何?其總運輸成本是多少?
三、在整數規劃中,我們可用 0-1 整數處理所謂的兩者擇一問題。如果以下兩式中僅要 求其中之一成立,亦即 2x
1
+ 4x
2
≤ 10 或
5x
1
+ 2x
2
≤ 12
讓 M 為一極大值,且 y
1
= 0 或 1,則我們可用那兩個限制式表達此問題?(14 分)
⑴試求庫存系統中零庫存的穩態機率(steady-state probability)。
⑵若每個晚上每一個庫存的成本 3 元,試求該系統平均每晚的庫存成本。
⑴一個顧客從準備買票到買到票的時間平均要多少秒?
⑵該機器的使用率為多少?(寫成最簡分式)
⑴請依平均數要徑法(mean critical path)求得本計畫的要徑。
⑵若本計畫想在 143 週內完成,試求於此時間內本計畫完成的機率。 (已知:標準常態分配機率表如下)
⑴請計算資訊的價值(以百萬元為單位,答案須取到小數點後兩位)。
⑵說明該公司將採取那一個方案?
相關試卷
114年 - 114 地方政府公務特種考試_三等_工業工程:作業研究#134713
114年 · #134713
114年 - 114 專技高考_工業工程技師:作業研究#133680
114年 · #133680
114年 - 114 高等考試_三級_工業工程:作業研究#128750
114年 · #128750
113年 - 113 地方政府公務特種考試_三等_工業工程:作業研究#124521
113年 · #124521
113年 - 113 專技高考_工業工程技師:作業研究#123885
113年 · #123885
113年 - 113 高等考試_三級_工業工程:作業研究#121489
113年 · #121489
112年 - 112 地方政府特種考試_三等_工業工程:作業研究#118325
112年 · #118325
112年 - 112 專技高考_工業工程技師:作業研究#117594
112年 · #117594
112年 - 112 公務升官等考試_薦任_工業工程:作業研究#117328
112年 · #117328
112年 - 112 高等考試_三級_工業工程:作業研究#115450
112年 · #115450