所屬科目:高中指考◆數學乙
1. 科學家測得南極上空臭氧層的破洞面積大約是2300萬平方公里,約相當於北美洲的面積。根據上述數據,估計地球的表面積,請選出最接近地球表面積的選項: (A) 5✖106平方公里 (B) 5✖107 平方公里 (C) 5✖108 平方公里 (D)5✖109平方公里 (E)5✖1010平方公里
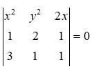
5. 下面每一個選項都是以行列式表達坐標平面上的方程式,請問哪些選項代表橢圓? (A) (B) (C) (D) (E)
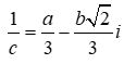
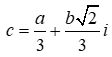
6. 假設a,b是整數,且b≠0 。已知是實係數一元二次方程式x2+kx+1=0的一個解。請問下列哪些選項是正確的? (A) 是上述方程式的另外一個解 (B) (C) (D)k 一定是整數 (E)a一定是奇數
7. x代表實數,請選出正確的選項: (A) 當時, cos 2x之值恆為正 (B) 當時, sin 2x之值恆為正 (C) 不論x為何, 恆成立 (D) 不論x為何, 恆成立 (E)不論x為何, 恆成立
A. 某棒球比賽有實力完全相當的甲乙丙丁四隊參加,先將四隊隨機抽籤分成兩組比賽,兩組的勝隊再參加冠亞軍決賽。如下圖:根據過去的紀錄,所有隊伍比賽時各隊獲勝的機率均為0.5。則冠亞軍決賽由甲、乙兩隊對戰的機率為 0.⑧⑨⑩(四捨五入到小數三位)
B. 平面上坐標皆為整數的點稱為格子點。我們將原點以外的格子點分層,方法如下:若(a,b)是原點(0,0)以外的格子點,且|a|和|b|中最大值為n ,則稱(a,b) 是在第n層的格子點(例如(3,-4)是在第4層; (8,-8)是在第8層)。則在第15層的格子點個數為__⑪⑫⑬__。
C. 如圖 A城到B城之間有甲、乙、丙、丁、戊五城,其間連結的道路如圖所示。今從A城出發走向B城,要求每條道路都要經過並且只經過一次,則總共有__⑭__種走法。