阿摩線上測驗
登入
首頁
>
電路學
> 96年 - 96 調查特種考試_三等_電子科學組:電子學與電路學#38688
96年 - 96 調查特種考試_三等_電子科學組:電子學與電路學#38688
科目:
電路學 |
年份:
96年 |
選擇題數:
0 |
申論題數:
6
試卷資訊
所屬科目:
電路學
選擇題 (0)
申論題 (6)
計算⑴ I
Z
(10 分)
⑵ V
out
(10 分)。(需詳列計算過程方計分)
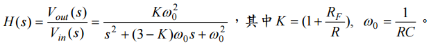
【已刪除】二、假設下圖主動濾波電路中之運算放大器(Op-Amp)為理想之運算放大器, 請證明其轉移函數 V
out
(s)/V
in
(s) = H(s)如下所示。(20 分)(需詳列推導過程方計分)
【已刪除】三、下圖為 Cascode 雙載子電晶體放大電路,其中 Q2 基極交流旁路電容 C
B
於操作頻率 呈現一甚小容抗。請問 C
B
於此 Cascode 放大電路幫忙促進之性能為何?(20 分) (需詳述相關原理方計分)
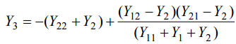
【已刪除】四、下圖為並聯回授振盪電路組態,其中[Y]代表主動放大電路之雙埠導納矩陣, (Y
1
, Y
2
, Y
3
)表示周邊被動電路之導納。請證明此振盪組態振盪條件如下。(20 分) (需詳列推導過程方計分)
【已刪除】五、請分別列出下面二邏輯電路之輸出入邏輯關係表示式,並證明此二邏輯電路等效。 (20 分)(需詳列推導過程方計分)
相關試卷
114年 - 114 地方政府公務特種考試_三等_電力工程、電子工程、電信工程:電路學#134770
114年 · #134770
114年 - 114 專技高考_電機工程技師:電路學#133707
114年 · #133707
114年 - 114 專技高考_電子工程技師:電路學#133700
114年 · #133700
114年 - 114 公務升官等考試_薦任_電力工程、電子工程、電信工程:電路學#133241
114年 · #133241
114年 - 114 高等考試_三級_電力工程、電子工程、電信工程:電路學#128784
114年 · #128784
113年 - 113-2 國營臺灣鐵路股份有限公司_從業人員甄試_第8階-助理工程師-電機:電路學#137142
113年 · #137142
113年 - 113 地方政府公務特種考試_三等_電力工程、電子工程:電路學#124508
113年 · #124508
113年 - 113 專技高考_電機工程技師:電路學#123962
113年 · #123962
113年 - 113 專技高考_電子工程技師:電路學#123933
113年 · #123933
113年 - 113 高等考試_三級_電力工程、電子工程、電信工程:電路學#121512
113年 · #121512