阿摩線上測驗
登入
首頁
>
技師◆基礎工程與設計
> 97年 - 97年專門職業及技術人員高等建築師、技師暨普通記帳士、97年第二次高等暨普通消防設備人員、普通不動產經紀人大地工程技師#36296
97年 - 97年專門職業及技術人員高等建築師、技師暨普通記帳士、97年第二次高等暨普通消防設備人員、普通不動產經紀人大地工程技師#36296
科目:
技師◆基礎工程與設計 |
年份:
97年 |
選擇題數:
0 |
申論題數:
7
試卷資訊
所屬科目:
技師◆基礎工程與設計
選擇題 (0)
申論題 (7)
㈠試以我國建築物基礎構造設計規範所建議方法計算抗滑及抗傾之安全係數,並說 明是否符合規範規定之最小值。(15分)
㈡簡要說明混凝土擋土牆設計採用伸縮縫之理由、間距及方式為何?(10分)
㈠某一上部結構載重4000 kN,座落於黏土層上,以群樁支撐之,已知黏土之無圍 壓縮強度q
u
-20 kN/m
2
,樁直徑為50 cm,樁長為28 m,試求單樁之容許承載力 及樁距。計算樁距之原則,應使群樁承載力(Block capacity)等於單樁承載力乘 以樁數。其中安全係數採用2。(15分)
㈡試說明利用打樁公式與波動方程式估計樁承載力之原理?並比較其優缺點。 (10 分)
㈠試計算地錨拉力T與版樁需要埋入地下之長度D。(假設安全係數採用1.5)。 (15 分)
㈡為避免地錨影響日後鄰房施工,一般常採用可回收式地錨。試列舉並繪圖說明兩 種可回收地錨之型式?(10分)
【已刪除】四、有一埋置於砂土層之方形基腳承受單柱垂直荷重Q=1500 kN,基腳埋置深度D
f
2.0 m, 砂土層設計參數如下:修正SPT-N值N
cor
=15,單位重γ=18.0 kN/m
3
,内摩擦角 φ=30°,地下水位於地表下20 m。若基腳之容許沉陷量為30 mm,試設計合適之方 形基腳尺寸?(25分)
提示1 :支承力方面:φ=30°時,N
c
=30,N
q
=18,N
r
=22,且考量安全係數為3.0。
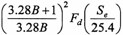
提示2 :沉陷量方面:基腳之容許沉陷量S
e
與容許垂直應力q
a
之關係如下式: 若 Bs ≤1.22 m 時, q
a
(kN/m
2
) = 19.l6N
cor
F
d
若 B≥1.22m 時,則q
a
(kN/m
2
) = 11.98iN
cor
其中q
a
=容許垂直應力(kN/m
2
),N
cor
為修正之N值,深度因素 F
d
= 1 + 0.33
≤1.33 » D
f
為埋置深度,B為基聊寬度,S
e
為容許沉陷量(mm)
相關試卷
114年 - 114 專技高考_大地工程技師:基礎工程與設計(包括開挖工程及基礎相關結構設計)#133716
114年 · #133716
114年 - 114 專技高考_大地工程技師(二):基礎工程與設計#133660
114年 · #133660
113年 - 113 專技高考_大地工程技師(二):基礎工程與設計#123932
113年 · #123932
113年 - 113 專技高考_大地工程技師:基礎工程與設計(包括開挖工程及基礎相關結構設計)#123905
113年 · #123905
112年 - 112 專技高考_大地工程技師(二):基礎工程與設計#117682
112年 · #117682
112年 - 112 專技高考_大地工程技師:基礎工程與設計(包括開挖工程及基礎相關結構設計)#117668
112年 · #117668
111年 - 111 專技高考_大地工程技師(二):基礎工程與設計#111855
111年 · #111855
110年 - 110 專技高考_大地工程技師(二):基礎工程與設計#104206
110年 · #104206
109年 - 109 專技高考_大地工程技師(二):基礎工程與設計#93314
109年 · #93314
109年 - 109 專技高考_大地工程技師:基礎工程與設計(包括開挖工程及基礎相關結構設計)#93271
109年 · #93271