阿摩線上測驗
登入
首頁
>
作業研究
> 97年 - 97 專技高考_工業工程技師:作業研究#32555
97年 - 97 專技高考_工業工程技師:作業研究#32555
科目:
作業研究 |
年份:
97年 |
選擇題數:
0 |
申論題數:
9
試卷資訊
所屬科目:
作業研究
選擇題 (0)
申論題 (9)
【已刪除】一、某公司在 3 個工廠生產 1 種產品,銷售給 4 位客戶。工廠 1、工廠 2 與工廠 3 在下 期各可生產 3,000 件、5,000 件與 5,000 件產品。該公司已承諾銷售 4,000 件給客戶 1,3,000 件給客戶 2,至少 3,000 件給客戶 3。客戶 3 與客戶 4 表示願意購買所有剩 餘的產品。從工廠 i 運送 1 件產品到客戶 j 的單位成本如下表。試建立此問題成為 運輸問題模式,找出從各工廠應運送給各客戶的件數,以造成公司的總運輸成本為 最小。(20 分)
二、某電子公司某產品未來 3 個月的需求量為:第 1 個月 200 件,第 2 個月 300 件,第 3 個月 300 件。在第 1 個月和第 2 個月生產時,每單位產品的變動成本則為$10;在 第 3 個月生產時,其單位產品變動成本則為$12。每次生產的整備成本為$250,所 生產的產品除了滿足當月的需求以外,亦可滿足未來的需求。該產品每個月底進行 盤存,每單位的存貨成本為$1.50。若期初存貨為零,每個月的需求必須滿足,且生 產量以 100 為單位,請利用動態規劃(dynamic programming)算出該產品總成本最 低之最佳生產計畫。(20 分)
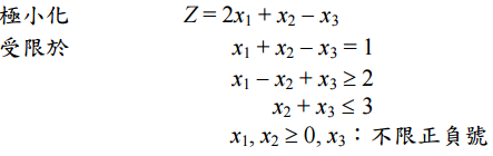
【已刪除】三、寫出以下線性規劃問題的對偶問題(dual problem)。(20 分)
⑴畫出轉移速率圖(rate diagram),並寫出平衡方程式(balance equations)。(10 分)
⑵計算忙碌的平均服務人員數。(5 分)
⑶計算平均每小時無法進入系統的顧客人數。(5 分)
⑴請繪製此專案之網路圖。(10 分)
⑵找出此專案之要徑(critical path)。(5 分)
⑶已知此專案每天的固定成本$5,若同時考慮趕工成本與固定成本的因素時,則此 專案總成本最低的最佳工期為何?(5 分)
相關試卷
114年 - 114 地方政府公務特種考試_三等_工業工程:作業研究#134713
114年 · #134713
114年 - 114 專技高考_工業工程技師:作業研究#133680
114年 · #133680
114年 - 114 高等考試_三級_工業工程:作業研究#128750
114年 · #128750
113年 - 113 地方政府公務特種考試_三等_工業工程:作業研究#124521
113年 · #124521
113年 - 113 專技高考_工業工程技師:作業研究#123885
113年 · #123885
113年 - 113 高等考試_三級_工業工程:作業研究#121489
113年 · #121489
112年 - 112 地方政府特種考試_三等_工業工程:作業研究#118325
112年 · #118325
112年 - 112 專技高考_工業工程技師:作業研究#117594
112年 · #117594
112年 - 112 公務升官等考試_薦任_工業工程:作業研究#117328
112年 · #117328
112年 - 112 高等考試_三級_工業工程:作業研究#115450
112年 · #115450