阿摩線上測驗
登入
首頁
>
技師◆流體力學與流體機械
> 97年 - 97 專技高考_機械工程技師:流體力學與流體機械#36320
97年 - 97 專技高考_機械工程技師:流體力學與流體機械#36320
科目:
技師◆流體力學與流體機械 |
年份:
97年 |
選擇題數:
0 |
申論題數:
7
試卷資訊
所屬科目:
技師◆流體力學與流體機械
選擇題 (0)
申論題 (7)
【已刪除】一、如圖所示,有一閘門其寬度為 4 m,在忽略閘門重量之情況下,計算閘門維持如圖 所示之位置時所須之力量 P。(15 分)
【已刪除】二、有一圓筒以其中心旋轉,如圖所示。試問旋轉速度ω為何值時,水面將剛好接觸原 點 O(虛線之情形)?此時 A 點及 B 點之壓力為何?(15 分)
【已刪除】三、如圖所示,有一直徑為 6 cm 之水柱,其速度為 20 m/s,撞擊在一導流板上,若導 流板以 7 m/s 之速度沿 x 方向運動,在假設導流板與水柱間之摩擦力可忽略之情況 下,試求水柱在導流板產生之 x 及 y 方向之力量。(15 分)
r
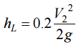
【已刪除】四、如圖所示,水流經一收縮管流量為 0.707 m
3
/s,假設收縮處之壓力損失可表為
,其中V
2
為水流在管徑為 20 cm 之管中的平均流速,若 p1 = 70kPa,試 問將管路固定於原處所須施加之水平力量為何?(15 分)
【已刪除】五、如圖所示,有一小管徑之圓管水平的連接至一水槽。如果 10 秒內由出口流出之體積為 6600 mm
3
,若水流之各式能量損失忽略不計時,試求水之黏滯係數為何?(15 分)
【已刪除】六、有一直徑為 20 cm 之離心式邦浦被使用來傳輸煤油(kerosene),煤油之密度 為 814 kg/m
3
,邦浦之性能曲線如圖所示。若邦浦之轉速為 5000 rpm 時,試計算邦 浦在最大效率運轉時,煤油流量,邦浦提供之壓力上升值,以及所須輸入之功率。 (10 分)
七、有一物體不知其體積,但將此物體完全浸入水中測得其重為 550N,而在空氣中測 得其重為 650N,試求此物體之比重及體積。(15 分)
相關試卷
114年 - 114 專技高考_機械工程技師:流體力學與流體機械#133682
114年 · #133682
114年 - 114 專技高考_冷凍空調工程技師:流體力學與流體機械#133673
114年 · #133673
113年 - 113 專技高考_機械工程技師:流體力學與流體機械#123970
113年 · #123970
113年 - 113 專技高考_冷凍空調工程技師:流體力學與流體機械#123961
113年 · #123961
112年 - 112 專技高考_機械工程技師:流體力學與流體機械#117662
112年 · #117662
112年 - 112 專技高考_冷凍空調工程技師:流體力學與流體機械#117610
112年 · #117610
111年 - 111 專技高考_冷凍空調工程技師:流體力學與流體機械#111949
111年 · #111949
111年 - 111 專技高考_機械工程技師:流體力學與流體機械#111948
111年 · #111948
110年 - 110 專技高考_機械工程技師:流體力學與流體機械#104180
110年 · #104180
110年 - 110 專技高考_冷凍空調工程技師:流體力學與流體機械#104172
110年 · #104172