阿摩線上測驗
登入
首頁
>
技師◆空氣動力學
> 97年 - 97 民航特種考試_三等_航務管理:空氣動力學#36220
97年 - 97 民航特種考試_三等_航務管理:空氣動力學#36220
科目:
技師◆空氣動力學 |
年份:
97年 |
選擇題數:
0 |
申論題數:
6
試卷資訊
所屬科目:
技師◆空氣動力學
選擇題 (0)
申論題 (6)
一、飛機飛行時主要有那四種力作用在飛機上?由此四種力的角度,敘述飛機為什麼會 飛。(15 分)
二、繪出一典型機翼剖面(airfoil),標示出“mean camber line”、“camber”、“chord line” 及“chord”,並說明各名詞之定義。什麼是“NACA 2412 airfoil”?(15 分)
三、高爾夫球飛行時,有那兩種阻力作用在球上?由空氣動力學的角度,說明高爾夫球 表面為何設計成凹凸面。(15 分)
四、何謂勢流(potential flow)?何謂速度勢(velocity potential)?如何由速度勢得到 流場之速度分量?在空氣動力學中,速度勢與流線函數(stream function)在應用範 圍有那兩方面主要差異?(15 分)
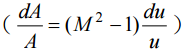
【已刪除】五、空氣動力學中,由面積-速度關係
可得到那些重要訊息?根據 面積-速度關係,說明超音速噴射飛機噴嘴(nozzle)設計理念?(20 分)
六、何謂臨界馬赫數(critical Mach number)?機翼的厚薄與臨界馬赫數大小有何關聯? 何謂面積準則(area rule)?在探討可壓縮流中,何謂 Prandtl-Glauert rule?(20 分)
相關試卷
109年 - 109 專技高考_航空工程技師:空氣動力學#93305
109年 · #93305
107年 - 107 專技高考_航空工程技師:空氣動力學#72909
107年 · #72909
107年 - 107 民航特種考試_三等_航務管理:空氣動力學#71937
107年 · #71937
106年 - 106 民航特種考試_三等_航務管理:空氣動力學#64721
106年 · #64721
105年 - 105 民航特種考試_三等_航務管理:空氣動力學#56464
105年 · #56464
104年 - 104 民航特種考試_三等_航務管理:空氣動力學#41329
104年 · #41329
103年 - 103 民航特種考試_三等_航務管理:空氣動力學#25347
103年 · #25347
103年 - 103 專技高考_航空工程技師:空氣動力學#25346
103年 · #25346
102年 - 102 民航特種考試_三等_航務管理:空氣動力學#26067
102年 · #26067
101年 - 101 專技高考_航空工程技師:空氣動力學#26690
101年 · #26690