阿摩線上測驗
登入
首頁
>
統計學
> 98年 - 98 國家安全情報特種考試_三等_政經組(外國文選試英文):統計學#47830
98年 - 98 國家安全情報特種考試_三等_政經組(外國文選試英文):統計學#47830
科目:
統計學 |
年份:
98年 |
選擇題數:
0 |
申論題數:
8
試卷資訊
所屬科目:
統計學
選擇題 (0)
申論題 (8)
⑴試求
之期望值。(10 分)
⑵定義:不偏推定量(unbiased estimate)。(5 分)
⑶說明
是否為
之不偏推定量。(5 分)
二、⑴令隨機變數 X
i
= a + (2i + 3)d , i = 1, 2, 3,..., n 。試求 X 之平均數與變異數。(20 分)
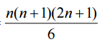
⑵若有一組次數為 50 之資料,分別為 55,75,115,…,1035。試求其平均數與變 異數。(15 分) n(n + 1) 2 n(n + 1)(2n + 1)
(提示:1 + 2 + 3 + 4 + ... + n =
, 1 + 2
2
+ 3
2
+ ... + n
2
=
)
三、隨機變數 X 之機率分配為 f ( X ) = (α + 1) X
α
, 0 ≤ X ≤ 1。今由該母體中抽出一組次數 為 n 之隨機樣本, ( X
1
, X
2
, ..., X
n
) 。試寫出概似函數,並推導母數α 之概似推定量。 (20 分)
⑴以貝氏定理(Bayesian Theorem)求算王先生被錄用的機率。(10 分)
⑵請列出 A、B 事象的聯合機率分配,並求算王先生被錄用的機率。(15 分)
相關試卷
115年 - 115 身心障礙特種考試_四等_經建行政:統計學概要#138995
115年 · #138995
115年 - 115 關務特種考試_三等_關稅統計(選試英文):統計學#138987
115年 · #138987
115年 - 115 身心障礙特種考試_三等_統計:統計學#138977
115年 · #138977
115年 - 115 關務特種考試_四等_關稅統計(選試英文):統計學概要#138961
115年 · #138961
115年 - 115 身心障礙特種考試_三等_經建行政:統計學#138960
115年 · #138960
114年 - 114 地方政府公務、離島地區公務特種考試_三等_經建行政、農業行政:統計學#134798
114年 · #134798
114年 - 114 地方政府公務、離島地區公務特種考試_四等_經建行政:統計學概要#134781
114年 · #134781
114年 - 114 地方政府公務特種考試_三等_統計:統計學#134714
114年 · #134714
114年 - 114 地方政府公務特種考試_四等_統計:統計學概要#134710
114年 · #134710
114年 - 114 公務升官等考試_薦任_經建行政、工業行政:統計學#133268
114年 · #133268