阿摩線上測驗
登入
首頁
>
電路學
> 98年 - 98 身心障礙特種考試_三等_電力工程、電子工程:電路學#38063
98年 - 98 身心障礙特種考試_三等_電力工程、電子工程:電路學#38063
科目:
電路學 |
年份:
98年 |
選擇題數:
0 |
申論題數:
5
試卷資訊
所屬科目:
電路學
選擇題 (0)
申論題 (5)
【已刪除】一、如圖一電路所示,求 A、B 兩端之諾頓 等效電路(Norton equivalent circuit)。 (20 分)
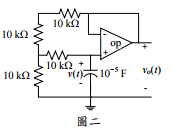
【已刪除】二、若v(0) = 5 V,求圖二電路中,當t > 0 時之vo(t)。 (其中之 op 為理想運算放大器)(20 分)
【已刪除】三、求圖三電路中之電流 i(t)。(20 分)
【已刪除】四、求出圖四電路之等效 T 型電路。(20 分)
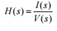
【已刪除】五、如圖五所示之電路,求出轉移函數
。(20 分)
相關試卷
114年 - 114 地方政府公務特種考試_三等_電力工程、電子工程、電信工程:電路學#134770
114年 · #134770
114年 - 114 專技高考_電機工程技師:電路學#133707
114年 · #133707
114年 - 114 專技高考_電子工程技師:電路學#133700
114年 · #133700
114年 - 114 公務升官等考試_薦任_電力工程、電子工程、電信工程:電路學#133241
114年 · #133241
114年 - 114 高等考試_三級_電力工程、電子工程、電信工程:電路學#128784
114年 · #128784
113年 - 113-2 國營臺灣鐵路股份有限公司_從業人員甄試_第8階-助理工程師-電機:電路學#137142
113年 · #137142
113年 - 113 地方政府公務特種考試_三等_電力工程、電子工程:電路學#124508
113年 · #124508
113年 - 113 專技高考_電機工程技師:電路學#123962
113年 · #123962
113年 - 113 專技高考_電子工程技師:電路學#123933
113年 · #123933
113年 - 113 高等考試_三級_電力工程、電子工程、電信工程:電路學#121512
113年 · #121512