阿摩線上測驗
登入
首頁
>
通信系統
> 99年 - 099年外交領事人員及國際新聞人員、國際經濟商務人員、法務部調查局調查人員及國家安全局國家安全情報人員調查人員電子科學組#38072
99年 - 099年外交領事人員及國際新聞人員、國際經濟商務人員、法務部調查局調查人員及國家安全局國家安全情報人員調查人員電子科學組#38072
科目:
通信系統 |
年份:
99年 |
選擇題數:
0 |
申論題數:
13
試卷資訊
所屬科目:
通信系統
選擇題 (0)
申論題 (13)
⑴請問 Y(t)的功率密度(psd)是什麼?
⑵若SX(f)如下圖且fo << fc,請畫出SY(f)。
⑶請說明這和通訊系統的調變有何關係?
⑴傳統的類比電視,是用那種調變方式傳播?用什麼方式偵測類比電視訊號?
⑵請解釋 superheterodyne 接收器的架構,它和 direct conversion(DC)接收器最大 不同處為何?
⑶有一個振盪器(oscillator)頻率是 100 MHz,誤差 100 ppm,若用在廣播電台及 收音機上,收音時最大可能頻率偏差是多少?
⑷我們在鐵道旁想要截收在時速 300 km/hr 高鐵上的無線通訊訊號,若載波頻率是 2 GHz,最大的都卜勒偏差(Doppler shift)是多少?
⑴若使用 BFSK(Binary Frequency Shift Keying),利用二種不同的載波頻率傳送訊 息,並運用同調偵測(coherent detection),這二個載波頻率至少應分隔多少?
⑵請算出Eb/N0(每個位元能量和雜訊能量比)。
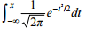
【已刪除】⑶若 Q(x) =
,BFSK運用同調偵測,請用Q(·)及E
b
/N
0
表示同調偵測的 錯誤率。
⑷考慮 BPSK(Binary Phase Shift Keying),請計算說明錯誤率大約比 BFSK 好 3 dB。
⑴Delta modulation 是一種數位調變方式。
⑵Delta modulation 可以節省傳輸頻寬。
相關試卷
114年 - 114 地方政府公務特種考試_四等_電信工程:通信系統概要#134755
114年 · #134755
114年 - 114 地方政府公務特種考試_三等_電信工程:通信與系統#134723
114年 · #134723
114年 - 114 公務升官等考試_薦任_電信工程:通信與系統#133270
114年 · #133270
114年 - 114 調查特種考試_三等_電子科學組:通信與系統#129592
114年 · #129592
114年 - 114 高等考試_三級_電信工程:通信與系統#128757
114年 · #128757
114年 - 114 普通考試_電信工程:通信系統概要#128733
114年 · #128733
113年 - 113 地方政府公務特種考試_四等_電信工程:通信系統概要#124540
113年 · #124540
113年 - 113 調查特種考試_三等_電子科學組:通信與系統#122111
113年 · #122111
113年 - 113 普通考試_電信工程:通信系統概要#121514
113年 · #121514
113年 - 113 高等考試_三級_電信工程:通信與系統#121501
113年 · #121501