阿摩線上測驗
登入
首頁
>
作業研究
> 99年 - 99 地方政府特種考試_三等_工業工程:作業研究#31763
99年 - 99 地方政府特種考試_三等_工業工程:作業研究#31763
科目:
作業研究 |
年份:
99年 |
選擇題數:
0 |
申論題數:
8
試卷資訊
所屬科目:
作業研究
選擇題 (0)
申論題 (8)
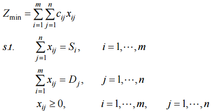
【已刪除】一、在如下線性數學規劃之標準運輸模式(Transportation model)中:(25 分)
假設成本係數皆為正值,各節點之供應量與需求量皆為整數,且總供應量等於總需 求量,請用 300 字內說明上述模式必存在可行解與最佳解,且最佳解必為整數值。
⑴如要維持目前之基變數(x
1
, x
2
)為最佳解,c
3
最大可增至多少?
⑵當c
3
=6 時,最佳解為何?
⑶如要維持目前之基變數(x
1
, x
2
)為最佳解,c
1
之變動幅度為何?
⑷如要維持目前之基變數(x
1
, x
2
)為可行解,b
2
之變動幅度為何?
⑸新增限制式x
1
+x
2
≥ 2 後,最佳解與目標函數值為何?
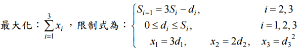
【已刪除】三、在下述之動態規劃模式:(25 分)
請問模式中之階段(stage)與狀態(state)為何?當S
3
為 6 時,請表列求解過程、 最佳決策變數值最佳目標函數值。
四、市政府之便民服務台有一位專職員工與一位約聘員工,前者負責窗口服務,後者負 責檔案管理與文書作業,服務台只有一條等候線,其容量可視為無限。統計資料顯 示市民來訪尋求服務之速率為指數分配平均每小時 6 人,個別員工之服務速率為指 數分配平均每小時 6 人。為提升政府服務人民效能,工業工程師建議之運作方式如 下:專職員工全天候在窗口服務,但當窗口有一位或一位以上客戶等候時,約聘員 工即停止文書工作,增加另一窗口為市民服務,直到無人等候為止,再回復原來文 書作業。請將此便民窗口服務問題改寫為等候模式,畫出機率轉移平衡圖,並計算 專職員工每天閒置時間比例與在等候線之期望市民人數,以作為提升營運績效之 依據。(25 分)
相關試卷
114年 - 114 地方政府公務特種考試_三等_工業工程:作業研究#134713
114年 · #134713
114年 - 114 專技高考_工業工程技師:作業研究#133680
114年 · #133680
114年 - 114 高等考試_三級_工業工程:作業研究#128750
114年 · #128750
113年 - 113 地方政府公務特種考試_三等_工業工程:作業研究#124521
113年 · #124521
113年 - 113 專技高考_工業工程技師:作業研究#123885
113年 · #123885
113年 - 113 高等考試_三級_工業工程:作業研究#121489
113年 · #121489
112年 - 112 地方政府特種考試_三等_工業工程:作業研究#118325
112年 · #118325
112年 - 112 專技高考_工業工程技師:作業研究#117594
112年 · #117594
112年 - 112 公務升官等考試_薦任_工業工程:作業研究#117328
112年 · #117328
112年 - 112 高等考試_三級_工業工程:作業研究#115450
112年 · #115450