阿摩線上測驗
登入
首頁
>
流體力學
> 99年 - 99 地方政府特種考試_三等_水利工程、環境工程、機械工程:流體力學#31678
99年 - 99 地方政府特種考試_三等_水利工程、環境工程、機械工程:流體力學#31678
科目:
流體力學 |
年份:
99年 |
選擇題數:
0 |
申論題數:
6
試卷資訊
所屬科目:
流體力學
選擇題 (0)
申論題 (6)
【已刪除】一、如下圖,圓柱體直徑為 1 m、質量為 M,以繩索與水閘門連結,矩形水閘門的寬為 2 m。假如水深 h = 2.5 m,試求穩定水閘門平衡所需的圓柱體質量 M。(20 分)
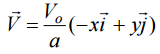
【已刪除】二、若二維流場的速度向量表示為:
其中V
o
及a均為常數。請說明此流場是否為不可壓縮流(incompressible flow)?是 否為非旋流(irrotational flow)?請繪出 x ≥ 0區域的流線圖(streamlines),並說 明這是怎樣的一種流況。(20 分)
三、試回答下列問題: ⑴何謂 flow separation?其影響為何?(10 分)
⑵何謂 vortex shedding?其影響為何?(10 分)
【已刪除】四、如下圖,兩個大水槽以水管及幫浦(pump)連結,假如幫浦輸以 50 kW的功率,試 求水管的流量。設摩擦損失因子(friction factor)為 0.02,並忽略次要損失。水管 直徑Dm=0.5 m,管長=600 m。(20 分)
【已刪除】五、如下圖,水流以速度V正向作用於垂直薄板,薄板的高度為h,寬度為w。假設流體 作用於薄板的曳力(drag force)F
D
為V、h、w、流體動力滯度(dynamic viscosity) μ及流體密度ρ的函數,試以Π定理求無因次參數群。假如流速V夠大,試說明板後方 可能發生何種流況?(20 分)
相關試卷
115年 - 115 身心障礙特種考試_三等_水利工程:流體力學#138962
115年 · #138962
114年 - 114 地方政府公務特種考試_三等_水利工程:流體力學#134777
114年 · #134777
114年 - 114 地方政府公務特種考試_四等_水利工程:流體力學概要#134736
114年 · #134736
114年 - 114 專技高考_水利工程技師:流體力學#133675
114年 · #133675
114年 - 114 公務升官等考試_薦任_水利工程:流體力學#133259
114年 · #133259
114年 - 114 普通考試_水利工程:流體力學概要#128762
114年 · #128762
114年 - 114 高等考試_三級_水利工程:流體力學#128749
114年 · #128749
114年 - 114 身心障礙特種考試_三等_水利工程:流體力學#126638
114年 · #126638
113年 - 113 地方政府公務特種考試_三等_水利工程:流體力學#124528
113年 · #124528
113年 - 113 地方政府公務特種考試_四等_水利工程:流體力學概要#124496
113年 · #124496