阿摩線上測驗
登入
首頁
>
工程數學(應用數學, 線性代數、微分方程、複變函數與機率)
> 99年 - 99 調查特種考試_三等_電子科學組:工程數學#38116
99年 - 99 調查特種考試_三等_電子科學組:工程數學#38116
科目:
工程數學(應用數學, 線性代數、微分方程、複變函數與機率) |
年份:
99年 |
選擇題數:
0 |
申論題數:
9
試卷資訊
所屬科目:
工程數學(應用數學, 線性代數、微分方程、複變函數與機率)
選擇題 (0)
申論題 (9)
【已刪除】一、試解下列微分方程式在 t>0 的完全解:(15 分)
【已刪除】二、試解下列微分方程式的完全解:(10 分)
【已刪除】三、考慮狀態方程式:
,其中
。試求 。(15 分)
四、令f(x) =e
-a|x|
,-1 ≤x≤1, a > 0。試求f(x) 之 Fourier cosine integral。(15 分)
【已刪除】五、若 z 為複數(complex variable),試計算積分
,其中 C 為圓 C |z| =2, f(z)-tan(z)( 。(15 分)
⑴若矩陣A之特徵多項式(characteristic polynomial)為P(λ)=λ
5
+λ
4
+λ
3
−2λ
2
+λ−4,試 計算矩陣A的行列式值(determinant)。(5 分)
⑵給定一 4×4 矩陣 A,其特徵值(eigenvalues)分別為 1, −2, 3, −4。試計算矩陣 A 的行列式值(determinant)。(5 分)
七、給 定 集 合 S= {v
1
,v
2
,v
3
,v
4
},其中 v
1
= (1,-2,0,3),v
2
= (2,-5,-3,6),v
3
= (0,1,3,0) ,v
4
= (2,-1,4,-7)。此集合S 擴展(span)之空間為V 。試求在集合S 之中,那些向量 可組成V 之一組基底(basis)。(10 分)
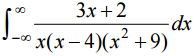
【已刪除】八、試計算積分值
(方法不拘)。(10 分)
相關試卷
114年 - 114 專技高考_電機工程技師:工程數學(包括線性代數、微分方程、複變函數與機率)#133679
114年 · #133679
114年 - 114 專技高考_電子工程技師:工程數學(包括線性代數、微分方程、向量分析、複變函數與機率)#133677
114年 · #133677
114年 - 114 調查特種考試_三等_電子科學組:工程數學#129578
114年 · #129578
114年 - 114 國家安全情報特種考試_三等_電子組(選試英文):工程數學#127780
114年 · #127780
113年 - 113 專技高考_電子工程技師:工程數學(包括線性代數、微分方程、向量分析、複變函數與機率)#123976
113年 · #123976
113年 - 113 專技高考_電機工程技師:工程數學(包括線性代數、微分方程、複變函數與機率)#123971
113年 · #123971
113年 - 113 調查特種考試_三等_電子科學組:工程數學#122110
113年 · #122110
113年 - 113 身心障礙特種考試_三等_電力工程:工程數學#119517
113年 · #119517
112年 - 112 地方政府特種考試_三等_電力工程、電子工程:工程數學#118376
112年 · #118376
112年 - 112 專技高考_電機工程技師:工程數學(包括線性代數、微分方程、複變函數與機率)#117639
112年 · #117639