阿摩線上測驗
登入
首頁
>
醫學六:80題 ( 包括麻醉科,眼科,耳鼻喉科,婦產科,復健科等科目及其及相關臨床實例與醫學倫理 )
> 99年 - 99-1 專技高考_醫學(二):醫學(六)(包括麻醉科、眼科、耳鼻喉科、婦產科、復健科等科目及其相關臨床實例與醫學倫理)#36878
99年 - 99-1 專技高考_醫學(二):醫學(六)(包括麻醉科、眼科、耳鼻喉科、婦產科、復健科等科目及其相關臨床實例與醫學倫理)#36878
科目:
醫學六:80題 ( 包括麻醉科,眼科,耳鼻喉科,婦產科,復健科等科目及其及相關臨床實例與醫學倫理 ) |
年份:
99年 |
選擇題數:
80 |
申論題數:
0
試卷資訊
所屬科目:
醫學六:80題 ( 包括麻醉科,眼科,耳鼻喉科,婦產科,復健科等科目及其及相關臨床實例與醫學倫理 )
選擇題 (80)
複選題
1 下列何者不會影響 CVP 測量循環血量之正確性?(一律給分) (A)病人個別之差異 (B)慢性肺氣腫 (C)二尖瓣閉鎖不全 (D)三尖瓣狹窄
2 一位 26 歲女性於高速公路發生撞車意外,送達醫院急診室主要的身體檢查狀況如下:血壓 90/60 mmHg;心跳 105/分;GCS 昏迷指數 8 分(E1M5V2)、有躁動(agitation)情形;合併顏面骨 骨折(facial bone fracture);預定進行緊急腦部手術。根據以上描述,下列何者為不適當之處置? (A)給予 ketamine,以降低腦壓 (B)合併嗎啡類藥物,作為插管輔助用藥 (C)使用滲透利尿劑 (D)給予 saline 輸液
3 一位 64 歲男性患有嚴重憂鬱症,被送至開刀房進行電擊治療,下列敘述何者錯誤? (A)進行電擊治療時,麻醉醫師需全程處理病患呼吸道與心血管問題 (B)最近 3 個月發生心肌梗塞為進行電擊治療的禁忌症之一 (C)使用靜脈麻醉劑(如 barbiturates)作為誘導時,應與一般手術病患一樣的劑量 (D) Succinylcholine 為最常選擇使用之肌肉鬆弛劑
4 一位後顱窩腫瘤的患者,病患手術的姿勢為坐姿,下列敘述何者錯誤? (A)臥姿比坐姿更易導致靜脈氣栓(venous air embolism) (B)要注意是否傷及生命中樞 (C)可能引起姿勢性低血壓 (D)易發生氣腦(pneumocephalus)
5 腎功能異常的病人,在長期使用下列何種類鴉片類藥物下,其代謝產物將具有活性且與癲癇發作有 關? (A) morphine (B) meperidine (C) fentanyl (D) alfentanil
6 下列那一類頭痛類型常帶有 Horner’s syndrome 的症狀(如紅眼睛、流淚、鼻塞⋯等。)? (A) tension headache (B) migraine headache (C) cluster headache (D) temporal arteritis
7 一位成年男性,因急性膽囊炎施行腹腔鏡膽囊摘除術(laparoscopic cholecystectomy),術中會造成 病患動脈血中二氧化碳分壓(PaCO
2
)上升的原因,下列何者錯誤? (A)體溫逐漸下降 (B)腹腔內二氧化碳的吸收 (C)麻醉深度不足下,代謝率上升 (D)肺泡換氣/肺部灌流不相稱(
mismatch)
8 下列有關麻黃素(ephedrine)的敘述,何者錯誤? (A)是一種非兒茶酚胺(noncatecholamine) (B)在心血管作用上,可以上升血壓、加快心跳 (C)是一種支氣管收縮劑(bronchoconstrictor) (D)會減少腎臟血流量(renal blood flow)
9 下列青光眼之點眼降壓藥物中,何者較不會有瞳孔放大或縮小的附帶作用? (A) pilocarpine (B) adrenaline 或 epinephrine (C) timolol (D) propine(dipivefrin)
10 有關鞏膜炎(scleritis)的處理,下列敘述何者錯誤? (A)常需照會風濕次專科醫師,評估潛在的病因(underlying disease) (B)使用 10% phenylephrine 點眼,依照鞏膜血管的收縮與否,可與上鞏膜炎(episcleritis)鑑別診斷 (C)應給予大量廣效性抗生素作第一線治療 (D)當鞏膜炎有導致眼球破裂之虞時,可予縫補性移植片(patch graft)治療
11 下列何者是鞏膜最薄、也容易因外傷造成破裂的位置? (A)眼直肌(rectus muscle)的附著處(insertion) (B)眼球後極部(posterior pole) (C)眼球赤道部(equator) (D)輪部(limbus)
12 臨床上在決定採取何種眼瞼下垂矯治手術的方法時,下列那一個因素為最重要考量? (A)性別 (B)年齡 (C)單側或雙側眼瞼下垂 (D)上眼瞼提肌(levator)之功能
13 下列何者為正常視網膜眼底所見的特點? (A)視神經盤(optic disc)位於黃斑部(macula)的上方 (B)視神經盤中央偏鼻(nasal)側有生理性凹陷(physiologic cup) (C)視神經盤(optic disc)位於黃斑部(macula)的下方 (D)視神經盤中央偏耳(temporal)側有生理性凹陷(physiologic cup)
14 兩眼往右上方向看時,其共軛肌(yoke muscles)為下列那一組? (A)右上直肌(RSR)和左下斜肌(LIO) (B)右上斜肌(RSO)和左上直肌(LSR) (C)右上斜肌(RSO)和左下斜肌(LIO) (D)右下斜肌(RIO)和左上直肌(LSR)
15 下列那一項儀器,是檢查角膜內皮層(corneal endothelium)病變的最重要儀器? (A)鏡射光顯微鏡(specular microscope) (B)角膜弧度地形檢查儀(computerized videokeratoscope) (C)眼底鏡(ophthalmoscope) (D)眼壓計(tonometer)
16 下列關於葡萄膜炎的敘述,何者錯誤? (A)常與全身性疾病有關 (B)容易復發 (C)不可使用免疫抑制劑 (D)容易造成視力傷害
17 (A)扁桃腺表面細菌培養 (B)睡眠生理檢查(polysomnography) (C)軟式鼻咽及喉部內視鏡檢查 (D)頭部 X 光檢查側面像(lateral cephalometry)
18 承上題,接下來的處置選項中較不考慮的是那一項? (A)懸壅垂軟腭咽成型術(uvulopalatopharyngoplasty, UPPP) (B)經頸部環咽肌切開術(pharyngeal constrictor myotomy) (C)減重 (D)連續正壓呼吸面罩(CPAP)
19 下列何者是臨床上發現單側上頜竇炎最常見的病因? (A)感染 (B)鼻息肉 (C)腫瘤 (D)外傷
20 一位 50 歲男性患者,右耳流膿及聽力損失約 10 年,1 個月前開始覺得眩暈,尤其當用棉棒擦拭耳道 內的分泌物時,眩暈加重;沒有耳痛或其他神經症狀。此病例最可能的診斷是中耳膽脂瘤併發: (A)前庭神經炎 (B)良性陣發性位置性眩暈 (C)梅尼爾氏病 (D)迷路瘻管
21 發育過程中,下列副鼻竇中何者最先到達成人的大小? (A)上頜竇 (B)篩竇 (C)額竇 (D)蝶竇
22 下列何者供應相當多鼻部血流而有“鼻科專家動脈"之稱? (A)前篩骨動脈 (B)後篩骨動脈 (C)蝶腭動脈 (D)大腭動脈
23 人類耳蝸的聽毛細胞(hair cell)分為外毛細胞及內毛細胞。二者間的組成比例是: (A)外毛細胞三列,內毛細胞一列 (B)外毛細胞三列,內毛細胞二列 (C)外毛細胞一列,內毛細胞三列 (D)外毛細胞二列,內毛細胞三列
24 音量由 0 dB 增加到 40 dB 時,請問聲音能量實際上是增加幾倍? (A) 40 倍 (B) 1000 倍 (C) 4000 倍 (D) 10000 倍
25 下列何者不是妊娠糖尿病的危險因子? (A)之前有過期妊娠懷孕史 (B)之前有巨嬰妊娠懷孕史 (C)之前有死產妊娠懷孕史 (D)多囊性卵巢病史
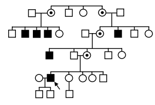
26 此族譜符合那種形式的孟德爾遺傳定律?
(A) X-linked dominant (B) X-linked recessive (C) autosomal recessive (D) autosomal dominant
27 下列何者不是正常懷孕婦女的腎臟生理變化? (A)腎臟尺寸變小(decreased renal size) (B)腎絲球過濾率上升(increased GFR) (C)腎盂擴大(dilatation of renal pelvis and calyces) (D)血漿滲透壓下降(decreased serum osmolarity)
28 國人妊娠週數 28 週之胎兒平均體重約為: (A) 500 公克 (B) 700 公克 (C) 1000 公克 (D) 2000 公克
29 下列抗體穿過胎盤的方式,何者正確? (A) IgG;active transport (B) IgM;endocytosis (C) IgA;simple diffusion (D) IgG;endocytosis
30 一位 29 歲女性,G3P2,妊娠 34 週,胎心率之「無壓力試驗」(non-stress test, NST),於 40 分鐘內 只有一次加速現象,依胎兒生物生理計分法(biophysical profile),於NST之分項下得分為何? (A) 3 (B) 2 (C) 1 (D) 0
31 一位 35 歲經產婦第一加第二產程總共 8 小時,最後產下體重 3200 g 男嬰。產後立即開始嘗試哺育母 乳,產後第二天有發燒現象,體溫 38.2℃。身體檢查(含乳房及產道檢查)無異常發現,骨盆腔超音波 檢查正常,血液學檢查(complete blood count)正常,尿液檢查正常。她除了子宮收縮劑(ergonovine) 之外並未使用其他藥物,下列何者為最可能的發燒來源? (A) pelvic peritonitis (B) mastitis (C) perineal hematoma (D) breast fever
32 小英懷孕 18 週,懷孕前就有甲狀腺機能亢進並服用藥物控制。懷孕後自行停藥,也沒再回內科追蹤。 在婦產科門診,醫師幫她安排抽血檢查,發現T3、T4值都很高,有Overt thyrotoxicosis,醫師告誡她 必須要好好服藥控制,不然會有很多併發症。下列何者不是小英之疾病常見的併發症? (A)早產或死胎(preterm delivery or stillbirth) (B)深層靜脈阻塞(deep vein thrombosis) (C)心臟衰竭(heart failure) (D)子癇前症(preeclampsia)
33 小惠剛順利自然產下一名女嬰,醫師告訴她陰道裂傷延伸至肛門括約肌,產後幾天可能要注意排便 的情形,以她的情況,陰道裂傷的程度是下列何者? (A)第 1 度裂傷 (B)第 2 度裂傷 (C)第 3 度裂傷 (D)第 4 度裂傷 代號:4102 頁次:12-5
34 關於妊娠糖尿病的敘述,下列何者正確? (A)一定要使用胰島素治療 (B)孕婦將來發生糖尿病的機會不會增加 (C)胎兒長大之後發生肥胖及糖尿病的機會增加 (D)妊娠早期(< 12 weeks)流產機會增加
35 一位多產次的婦女,主訴在咳嗽、大笑、提重物或運動時有漏尿的現象,但中止活動時,漏尿的現 象即停止。此一婦女最有可能罹患: (A)泌尿道瘻管(urinary fistula) (B)應力性尿失禁(stress incontinence) (C)尿急性尿失禁(urge incontinence) (D)泌尿道發炎(urinary tract infection)
36 完全性葡萄胎最常表現出的染色體型態為下列何者? (A) 46, XX-one set of paternal chromosomes, one set of maternal chromosomes (B) 46, XX-two sets of maternal chromosomes (C) 46, XX-two sets of paternal chromosomes (D) 69, XXY(triploid)-two sets of maternal chromosomes, one set of paternal chromosomes
37 當子宮及子宮頸均脫出陰道口外,下列敘述何者錯誤? (A)應力性尿失禁為最常見症狀 (B)常併膀胱脫垂及直腸脫垂 (C)脫垂的程度至少為第三期(stage Ⅲ) (D)手術療法可能是最佳的選擇
38 一位 26 歲女性因下腹疼痛求診,WBC 11500/mm
3
、Hb 12.5 g/dL、CRP 10.1 mg/dL,經婦產科醫師內 診後之臨床診斷為骨盆腔發炎。下列微生物何者不可能為引起此病人骨盆腔發炎的可能病因? (A) N. gonorrhoeae (B) chlamydia (C) Streptococcus (D) Candida albicans
39 一位 40 歲的婦女不正常的陰道出血,經子宮內膜搔刮術(D&C)檢查後,發現為單純性內膜增 生(simple endometrial hyperplasia),初步應採用下列何種治療方式? (A)子宮全切除術(hysterectomy) (B)子宮內膜燒灼術(endometrial ablation) (C)黃體素治療(progestin therapy) (D)雌激素治療(estrogen therapy)
40 下列針對 CA-125 的敘述,何者正確? (A) it is a circulating antigenic marker for germ cell tumor (B) it is found in normal fetal and adult ovaries (C) it is secreted by mesothelial cells of the pleura, pericardium, and peritoneum (D) it is not useful in monitoring tumor progression
41 下列與卵巢腫瘤有相關之敘述,何者錯誤? (A) yolk sac tumor 有 Schiller-Duval bodies (B) polyembryoma 有 embryoid bodies (C) dysgerminoma 有 Call-Exner bodies (D) granulosa cell tumor 出現 coffee bean, grooved nuclei 的腫瘤細胞
42 下列何者是侵襲性子宮頸鱗狀上皮細胞癌在陰道鏡之下呈現的血管形式? (A) punctation (B) mosaic (C) network and hairpin (D) atypical vessel 代號:4102 頁次:12-6
43 人類乳突瘤病毒基因產物中與生殖道惡性腫瘤有相關性為何者? (A) E1,E2 (B) L1,L2 (C) E6,E7 (D) E5,E6
44 下列何者不屬於診斷多囊性卵巢(polycystic ovarian syndrome)的主要標準(major criteria)之一? (A)慢性無排卵(chronic anovulation) (B)高血中雄性素(hyperandrogenemia) (C)高雄性素表徵(clinical sign of hyperandrogenism) (D)胰島素阻抗(insulin resistance)
45 先天性腎上腺增生症(congenital adrenal hyperplasia, CAH)致病的原因,主要是一群製造腎上腺激 素的基因之一發生缺陷,而使得鹽皮素(mineralocorticoid)、糖皮素(glucocorticoid)及雄性素 (androgen)分泌異常所造成。不同的基因缺陷及酵素缺乏會導致不太相同的表現,其中最常見的為: (A) 21-hydroxylase deficiency (B) 11β-hydroxylase deficiency (C) 3β-hydroxysteroid dehydrogenase deficiency (D) antimicrosomal thyroid peroxidase deficiency
46 一位 46 歲女性,出現月經不規則、熱潮紅、心悸等症狀。你可以檢查下列何者來幫助診斷? (A)泌乳激素(prolactin) (B)促濾泡成熟激素(FSH) (C)黃體素(progesterone) (D)雌激素(estradiol)
47 一位 17 歲女性,主訴無初經,外觀無第二性徵,蹼狀頸(webbed neck),陰道口正常,超音波檢查: 子宮發育不良,過去病史在 13 歲曾接受主動脈狹窄手術,此為何種病患? (A) Turner 症候群 (B) Asherman 症候群 (C) Cushing 症候群 (D) Addison 氏病
48 關於不孕症的敘述,何者錯誤? (A)做細胞內精蟲顯微注射(intracytoplasmic sperm injection, ICSI)的懷孕率比傳統試管嬰兒(in vitro fertilization, IVF)的懷孕率低 (B)不孕症是指在未避孕的情況下,一年以上沒有懷孕 (C)所謂人工生殖技術(assisted reproductive technology, ART)是指各種取卵的介入方法 (D)女性的懷孕能力(fecundability)從 30 歲後開始下降
49 一對夫妻因多年不孕於門診求診,精液分析如下:精液量:2.5 mL,精蟲數:25 million/mL,35%正 常外觀(嚴格條件),前進活動精蟲:20%。下列解釋何者最適當? (A)報告異常,因正常形態的精子過低 (B)報告異常,精子活動力不佳 (C)報告正常,但因量過低,必須重覆檢查 (D)報告正常,給予精神支持後請病患再多努力
50 下列關於停經(menopause)與賀爾蒙療法(hormone therapy)的敘述,何者錯誤? (A)潮紅等症狀約影響 75%之更年期(perimenopause)女性 (B)對於陰道乾澀、性交疼痛或泌尿道症狀,使用口服賀爾蒙藥物比局部陰道賀爾蒙藥物效果較佳 (C)在使用賀爾蒙藥物之前,需要詳細評估病患之肝功能、血脂肪、乳房以及子宮內膜之狀況 (D)卵巢早衰(premature ovarian failure)定義為 40 歲之前停經,發生率約 1% 代號:4102 頁次:12-7
51 下列輸卵管攝影的發現中,那一項比較可能是操作步驟的問題所造成的假陽性? (A)單角子宮 (B)遠端(distal end)輸卵管阻塞 (C)近端(proximal)輸卵管阻塞 (D)輸卵管水腫
52 下列何者最不適用於測驗是否有排卵? (A)基礎體溫 (B)一系列的超音波檢查 (C)尿中LH檢查 (D)血中E2檢查
53 青春期女性性徵的發生順序,下列何者正確? (A)初經→乳房發育→最高速度生長(maximal growth)→陰毛發育 (B)乳房發育→陰毛發育→最高速度生長→初經 (C)陰毛發育→初經→最高速度生長→乳房發育 (D)陰毛發育→乳房發育→初經→最高速度生長
54 關於目前用於刺激排卵的 GnRH-agonist,下列敘述何者正確? (A)長療程(long protocol)乃利用其 up-regulation 特性 (B)和內生性 GnRH 比較,只有 1 個氨基酸不同 (C)半衰期比內生性 GnRH 長 (D)可口服使用
55 某病患上個月才剛接受過長達 8 個小時的胸部手術,現在因為手臂痠麻前來就診,檢視其手部發現 有如附圖的變形。他最有可能是那一條神經受到傷害? (A)橈神經(radial nerve) (B)正中神經(median nerve) (C)尺神經(ulnar nerve) (D)腋神經(axillary nerve)
56 下列有關頸髓完全損傷患者呼吸功能的敘述,何者錯誤? (A)第二頸髓損傷患者需終身使用呼吸器 (B)吸氣功能障礙比呼氣功能障礙明顯 (C)經由橫膈肌肌力訓練可以增加肺活量 (D)腹肌無力,咳嗽功能不佳
57 一位蜘蛛膜下腔出血病患在復健過程中,被醫師診斷有遲發性水腦症(delayed onset hydrocephalus),病 患最可能出現下列何種症狀? (A)失語症 (B)尿失禁 (C)頸部疼痛 (D)血壓下降
58 一位 23 歲女性主訴右肩疼痛,身體檢查時發現其右上臂、右上斜方肌(trapezius)與棘下肌 (infraspinatus)有局部壓痛點,外側上臂感覺失常(如附圖)。下列何節頸椎(cervical segment) 之病變為最可能之診斷?
(A) C1-2 (B) C2-3 (C) C4-5 (D) C7-T1
59 一位 16 歲的羽球選手主訴雙膝慢性疼痛,檢查時發現脛骨突(tibial tuberosity)特別突出,且有明顯壓痛,其 X 光片顯示如附圖。其最可能的病變是:
(A)脛骨骨折(tibial fracture)(B)髕肌腱炎(patellar tendinitis)(C)髕肌腱斷裂(patellar tendon rupture)(D)奧斯古-謝拉德氏症(Osgood-Schlatter disease)
60 一位 24 歲男性左膝長期處於疼痛,喜愛打籃球但無外傷病史,自幼被診斷出為扁平足。身體檢查 發現並無股四頭肌或是腸脛束(iliotibial band)緊繃的情形,最後被診斷為髕股骨關節疼痛症候群 (patellofemoral pain syndrome),下列何者為其最主要之致病原因? (A)感染(infection) (B)扁平足(pes planus) (C)早發性退化關節炎(early knee OA) (D)前十字韌帶(anterior cruciate ligament)斷裂
61 如圖所示的義肢(prosthesis),最適合下列那一種截肢病患使用?
(A) knee disarticulation (B) Syme amputation (C) Gritti-Stokes amputation (D) Lisfranc amputation
62 一位身高 160 cm、體重 90 kg 的 49 歲女性,因運動耐力不足,被轉介至復健科,對於本病例的建議 何者錯誤? (A)每週重量訓練三次,可改善其運動耐力 (B)需配合飲食控制,方可達良好減重效果 (C)選擇不易造成膝關節傷害的運動模式 (D)不宜在高溫氣候時運動,以免產生中暑
63 一位 70 歲男性患有輕微的慢性阻塞性肺病(COPD),當他接受過完整的胸腔復健後,下列何者之 改善最不顯著? (A)呼吸窘迫的症狀 (B)對運動的耐力 (C)呼吸道分泌物的排除 (D)第一秒的用力呼氣量(FEV1)
64 對於咳痰功能不佳的病患,下列何者為姿勢性引流治療的禁忌? (A)糖尿病 (B)顱內壓上升 (C)冠狀動脈疾病 (D)椎間盤突出 代號:4102 頁次:12-10
65 一位兩足歲的腦性麻痺患者,目前可獨立坐直,但扶物仍無法站立,肌張力上升,屬痙攣型(spastic type)腦性麻痺,原始反射(primitive reflex)已消失,關於其功能預後(functional prognosis)的敘 述,下列何者錯誤? (A)痙攣型(spastic type)腦性麻痺中,約有 75%有獨立行走的能力 (B)兩歲時有獨立坐姿(independent sitting)是行走能力的重要指標 (C) 18 個月時若原始反射持續存在,是不良預後的指標 (D) GMFCS(Gross Motor Functional Classification Scale)愈高者,其行走時能量消耗值愈高
66 新生兒於出生時下背部有明顯無皮膚包覆突出物,經核磁共振檢查確定為神經管缺損(neural tube defect),關於此病患的敘述,下列何者錯誤?(A)可能的致病因子包括母親葉酸的缺乏、癲癇藥物的使用以及懷孕初期過多的熱暴露(B)孕期甲型胎兒蛋白、抗乙醯膽鹼酶(acetylcholinesterase)以及產前超音波可用來篩檢開放性神經管缺損(C)這類患者不會出現水腦症(hydrocephalus)(D)屬於 Arnold-Chiari 第二型異常(Arnold-Chiari malformation type Ⅱ)
67 某病患因為重病臥床太久,薦骨部位出現褥瘡,檢測時發現表皮有約 2 公分平方的水泡,邊緣泛紅,未看到真皮層的損傷或化膿。其褥瘡依據照護及研究(health care policy and research)分類是屬於那一級?(A) stage 0(B) stage I(C) stage II(D) stage III
68 一位病人因兩側下肢無力使用腋下枴杖(axillary crutches)協助步行,其上肢著力點主要位於下列何處? (A)肘關節 (B)上臂內側 (C)手掌 (D)腋下
69 關於言語失用症(apraxia of speech)的敘述,何者錯誤? (A)較常出現於優勢大腦(dominant hemisphere)的病變 (B)常伴隨構音上的錯誤 (C)言語失用症並不是運動計劃(motor planning)執行的問題 (D)自發性說話(automatic speech)的能力比起有目的性的說話(purposeful speech)能力受到的影響較少
70 下列何者不是復健輔助科技(assistive technology)的設計原則? (A)必須規格化的大量生產以降低成本 (B)簡單的圖卡也可以作為溝通輔具 (C)最好是依據個人需求來設計 (D)要考慮使用者的經濟能力,租借的模式也是可行方法
71 下列關於正常人步態的敘述,何者最為正確? (A)步態周期中,雙腳支撐期(double limb support)占 20% (B)步行速度愈快,雙腳支撐期會變得愈長 (C)下肢在步行中的旋轉角度,以股骨為最大 (D)步行中的能量消耗,推進力比吸震力更大
72 56 歲林女士近數月來有類似月經狀之不規則出血。醫師發現她陰道內有少許血跡,進一步為她做骨 盆腔(pelvis)之 MRI 檢查。結果發現子宮異常如圖示。林女士最可能患了什麼病?
(A)子宮頸癌(uterine cervical cancer) (B)子宮內膜異位症(endometriosis) (C)類纖維瘤(uterine fibroid or leiomyoma) (D)子宮內膜癌(endometrial cancer)
73 一位 18 歲男性患者,因左膝關節疼痛,接受核磁共振掃描檢查,圖A影像為T
1
WI, sagittal view,圖 B為T
2
* gradient echo image,最可能的診斷為何?
(A) anterior cruciate ligament rupture (B) post-traumatic arthritis (C) discoid meniscus with transverse tear (D) joint effusion and synovitis
74 一位 45 歲男性,近二年來,經常出現右側 submandibular gland 腫痛。A 圖為未注射顯影劑的 CT,B 圖則為注射顯影劑的 CT,在 A 圖箭頭所指的是: (A) stone of E-tube (B) stone of Stenson’s duct (C) stone of Warthin’s duct A B (D) stone of Wharton’s duct
75 一位 34 歲男性車床工人,因工作意外被送到急診。根據此 CT,最可能的診斷是:
(A)眼球破裂 (B)金屬碎片進入眼球 (C)眼球內出血 (D)眼球內有骨頭碎片
76 下列有關病人鼻出血的敘述,何者錯誤? (A)大部分的鼻出血是發生在前鼻部(anterior epistaxis) (B)小孩子出現的鼻出血以前鼻部最常見 (C)若病人有疼痛情形可考慮給予 aspirin 止痛 (D)病人後鼻部鼻出血,若合併有意識不清就必須考慮住院
77 一位 30 歲女性主訴陰道出血二天,且有輕微下腹陣痛。她的最後一次月經為 13 週前。身體檢查子 宮頸口緊閉,超音波檢查發現子宮內懷孕且胎心音正常,下列何者為最可能的診斷? (A) abruptio placenta (B) threatened abortion (C) incomplete abortion (D) hemorrhagic corpus luteum
78 一位 46 歲的男性病患主訴發燒兩天,吞嚥越來越困難而且越來越痛,平躺時甚至會有呼吸困難的情 形。身體檢查時發現喘鳴(stridor)以及頸部淋巴結腫脹,下列何者錯誤? (A)該疾病發生在中年人的盛行率比孩童高 (B)應立即安排頸部 X 光攝影及喉鏡檢查 (C)必要時應緊急進行氣管插管以保持呼吸道通暢 (D)手術引流是最有效的治療方式
79 依據目前的醫療法,醫療機構施行手術及麻醉時,其告知暨取得病人同意的原則,下列何者錯誤? (A)病人未明示反對時,得告知其配偶或親屬 (B)病人為未成年人時,須告知其法定代理人 (C)病人意識不清或無決定能力,應告知其法定代理人、配偶、親屬或關係人 (D)病人要求對家屬保密,但家屬詢問時仍須告知
80 依照醫療法之規定,參與人體試驗的病人之病歷,其保存期限為何? (A)同一般病歷,由醫院保存 7 年 (B)同一般病歷,由醫院保存 10 年 (C)由醫院永久保存 (D)交由委託人體試驗之廠商保存至試驗結束後 7 年
申論題 (0)
相關試卷
115年 - 115-1 專技高考_醫師(二):醫學(六)(包括麻醉科、眼科、耳鼻喉科、婦產科、復健科等科目及其相關臨床實例與醫學倫理)#137334
115年 · #137334
114年 - 114-2 專技高考_醫師(二):醫學(六)(包括麻醉科、眼科、耳鼻喉科、婦產科、復健科等科目及其相關臨床實例與醫學倫理)#127922
114年 · #127922
114年 - 114-1 專技高考_醫師(二):醫學(六)(包括麻醉科、眼科、耳鼻喉科、婦產科、復健科等科目及其相關臨床實例與醫學倫理)#125090
114年 · #125090
113年 - 113-2 專技高考_醫師(二):醫學(六)(包括麻醉科、眼科、耳鼻喉科、婦產科、復健科等科目及其相關臨床實例與醫學倫理)#120656
113年 · #120656
113年 - 113-1 專技高考_醫師(二):醫學(六)(包括麻醉科、眼科、耳鼻喉科、婦產科、復健科等科目及其相關臨床實例與醫學倫理)#118715
113年 · #118715
112年 - 112-2 專技高考_醫師(二):醫學(六)(包括麻醉科、眼科、耳鼻喉科、婦產科、復健科等科目及其相關臨床實例與醫學倫理)#114980
112年 · #114980
112年 - 112-1 專技高考_醫師(二):醫學(六)(包括麻醉科、眼科、耳鼻喉科、婦產科、復健科等科目及其相關臨床實例與醫學倫理)#113157
112年 · #113157
111年 - 111-2 專技高考_醫師(二):醫學(六)(包括麻醉科、眼科、耳鼻喉科、婦產科、復健科等科目及其相關臨床實例與醫學倫理)#108743
111年 · #108743
111年 - 111-1 專技高考_醫師(二):醫學(六)(包括麻醉科、眼科、耳鼻喉科、婦產科、復健科等科目及其相關臨床實例與醫學倫理)#106188
111年 · #106188
110年 - 110-2 專技高考_醫學(二):醫學(六)(包括麻醉科、眼科、耳鼻喉科、婦產科、復健科等科目及其相關臨床實例與醫學倫理)#99915
110年 · #99915