假設每年通路需求包裝袋為96,000個,需求量每天都差不多,訂購成本為300元,儲存成本為1.6元,假設通路全年無休,以365個工作天來看,請問約幾天就要訂購一次包裝袋?(取接近值)
(A) 20天
(B) 23天
(C) 26天
(D) 30天
答案:登入後查看
統計: A(723), B(3117), C(426), D(153), E(0) #361058
統計: A(723), B(3117), C(426), D(153), E(0) #361058
詳解 (共 10 筆)
#3242461
40
1
#1128004
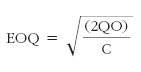
EOQ(經濟請購量)=√2×每期需求量×訂(採)購成本 / 儲存成本
Q=每期需求量
O=訂(採)購成本
C=儲存成本
√2×96000×300/1.6=6000
31
3
#4839053
年96000袋÷365天= 263袋 (1天)
EOQ : 
6000 (EOQ)÷263袋 = 22.8天 ≒ 23天 .... 答案選 : ( B )
25
0
#1127991
請問最佳訂購量6000怎來?
4
2
#6217289
EOQ=6000(這是最佳訂購量)
ㄧ年需求量是96000
96000/6000=16(叫貨的次數)
365/16=22.81約23天 隔23天訂購
3
0
#426924
請問有人會算這題ㄇ? 謝謝!
3
0
#1131803
謝謝城之內
1
2