阿摩線上測驗
登入
首頁
>
技檢◆電腦軟體設計共同科目
>
115年 - 90004 電腦軟體設計共同科目 乙級 工作項目 07:資料結構 201-260(2026/01/14 更新)#136868
> 試題詳解
試題詳解
試卷:
115年 - 90004 電腦軟體設計共同科目 乙級 工作項目 07:資料結構 201-260(2026/01/14 更新)#136868 |
科目:
技檢◆電腦軟體設計共同科目
試卷資訊
試卷名稱:
115年 - 90004 電腦軟體設計共同科目 乙級 工作項目 07:資料結構 201-260(2026/01/14 更新)#136868
年份:
115年
科目:
技檢◆電腦軟體設計共同科目
複選題
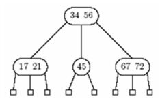
244. 下圖分支度(Order)為 3 之 B-tree,下列那些敘述是正確的?
(A)插入鍵值(Key)47 於原始 B-tree,則此 B-tree 之節點共有 1 次分裂(Split)
(B)插入鍵值(Key)18 於原始 B-tree,則此 B-tree 之節點共有 1 次分裂(Split)
(C)插入鍵值(Key)23 於原始 B-tree,則此 B-tree 之高度會增加
(D)插入鍵值(Key)70 於原始 B-tree,則鍵值 56 是放在樹根(Root)節點內 。
正確答案:
登入後查看