複選題
7. 三個相異實數 a、 b、 c 滿 足
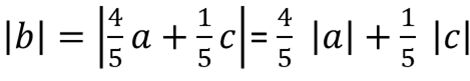
,如果將 a、 b、 c 標示在數線上,則
(A) b 在 a 與 c 之 間
(B) c >b
(C) 若
, 則 d 在 a 與 b 之 間
(D) a 到 c 的距離是 a 到 b 的距離的 5 倍
(E) 如 果
,如果將 a、 b、 c 標示在數線上,則(A) b 在 a 與 c 之 間
(B) c >b
(C) 若
, 則 d 在 a 與 b 之 間(D) a 到 c 的距離是 a 到 b 的距離的 5 倍
(E) 如 果

答案:登入後查看
統計: A(21), B(19), C(16), D(29), E(10) #637102
統計: A(21), B(19), C(16), D(29), E(10) #637102
詳解 (共 2 筆)
#6414201
先寫詳解 再來寫考點跟思路
詳解 :
根據題目 劃出數線


ㅤㅤ
ㅤㅤ
(1) => 正確
(2). 題目沒講a跟c的大小關係 (所以上圖才畫兩種情況) 所以無從判斷c跟b大小
=> 錯誤!
=> 錯誤!
(3). 外分點公式 : d一定在a跟c之外 由上圖可知
既然在ac外 就不可能在ab內
=> 錯誤!!
既然在ac外 就不可能在ab內
=> 錯誤!!
(4). 由上圖看出 不論哪種狀況
a到c都是a到b的五倍
=> 正確!!
a到c都是a到b的五倍
=> 正確!!
(5). 根據題目跟選項


=> 則a跟c同號, 可能正正 也可能負負
又因為b在ac間
正跟正之間: 為正 負跟負之間 :為負
=> abc都同號, 可能正正正, 也可能負負負
如果abc是負負負 => abc < 0
=> 錯誤!
所以答案是(1)(4)
=======================================================================
ㅤㅤ
考點跟思路 :
ㅤㅤ
看到係數和為1 要想到分點公式
b: 4/5 + 1/5 =1 , d : 4/3 -1/3 = 1
係數都正 : 內分點
係數有正有負 :外分點
係數較大者較靠近
a的係數4/5較大 所以b一定是靠近a
b: 4/5 + 1/5 =1 , d : 4/3 -1/3 = 1
係數都正 : 內分點
係數有正有負 :外分點
係數較大者較靠近
a的係數4/5較大 所以b一定是靠近a
選項的外分點 畫出來會是這樣


d一定是在ac外 比較靠近a(因為係數大)
而a點一定是在d跟c之間 (因為a的係數是正的)
因此上圖只會有一種狀況 d->a->c
而a點一定是在d跟c之間 (因為a的係數是正的)
因此上圖只會有一種狀況 d->a->c
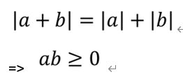
最後是考你三角不等式

ㅤㅤ
表示ab同號
所以選項(5) 我才會判斷 a跟c同號
所以選項(5) 我才會判斷 a跟c同號
其實三角不等式 91年學測也考過


ㅤㅤ
有沒有 給你abc >0 要你去判斷
ㅤㅤ
ㅤㅤ
ㅤㅤ
ㅤㅤ
ㅤㅤ
0
0