22. 一個物體自地面以V的速度開始垂直向上運動,請問當該物體之動能與位能剛好相等時,該
物體的高度,下列何者正確?(假設重力加速度為g)
(A)
(B)
(C)
(D)
答案:登入後查看
統計: A(51), B(66), C(375), D(295), E(0) #1917652
統計: A(51), B(66), C(375), D(295), E(0) #1917652
詳解 (共 6 筆)
#3524540
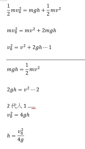
依據動能守恆

nnnnnnnnnnnnnnnnnnnnnnnnnnnn
38
1
#5677991
(1/2)mv末速^2=mgh
題目定義v初速=v
S=位移=h 因為垂直上拋
a=加速度=-g 因為加速度方向與速度相反
v末速^2=(v^2)+2aS=(v^2)-2gh
(1/2)m((v^2)-2gh)=mgh
(v^2)-2gh=2gh
v^2=4gh
h=(v^2)/4g
1
0
