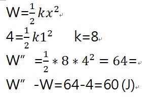
1. 某彈簧拉長至 1 公分時,施力所作之功為 4 焦耳,在彈性限度內,由原來拉長 1 公分狀態下
,再將其拉長至 4 公分,請問需再施以多少焦耳能量?
(A)24
(B) 48
(C) 60
(D) 72
答案:登入後查看
統計: A(102), B(85), C(583), D(35), E(0) #1917631
統計: A(102), B(85), C(583), D(35), E(0) #1917631
詳解 (共 3 筆)
#3169440

41
0