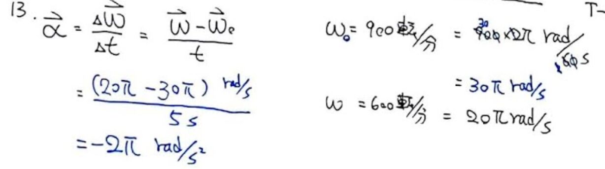
13.求角加速度為?
(A) - π rad/s2
(B) π rad/s2
(C) -2 π rad/s2
(D) 2 π rad/s2
答案:登入後查看
統計: A(105), B(31), C(529), D(32), E(0) #882350
統計: A(105), B(31), C(529), D(32), E(0) #882350
詳解 (共 4 筆)
#3150400
1轉=2π
900轉/分=900*2π/60=30π/S
600轉/分=600*2π/60=20π/S
W=W0+at
20π=30π+a*5
a=-2π
13
0
#2691473
應該是t不是s吧
2
2
#6091060

0
0