阿摩線上測驗
登入
首頁
>
教甄◆數學
>
112年 - 112 中區縣市政府教師甄選策略聯盟:數學#115785
> 試題詳解
試題詳解
試卷:
112年 - 112 中區縣市政府教師甄選策略聯盟:數學#115785 |
科目:
教甄◆數學
試卷資訊
試卷名稱:
112年 - 112 中區縣市政府教師甄選策略聯盟:數學#115785
年份:
112年
科目:
教甄◆數學
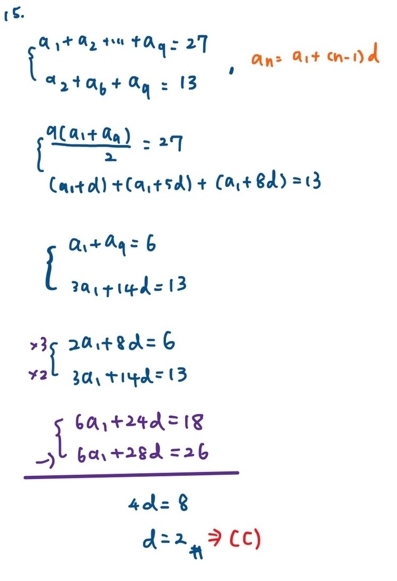
15. 有一等差數列,前9項的和為27,且第2項、第6項、第9項的和為13。求此等差數列的公差。
(A) −5
(B) −2
(C) 2
(D) 11
正確答案:
登入後查看
詳解 (共 4 筆)
rou021225
B1 · 2023/07/19
推薦的詳解#5889432
未解鎖
(共 1 字,隱藏中)
前往觀看
17
1
上岸才是開始
B4 · 2023/07/23
推薦的詳解#5893798
未解鎖
(共 1 字,隱藏中)
前往觀看
7
0
Alice113桃園上榜
B2 · 2023/07/20
推薦的詳解#5890415
未解鎖
(共 1 字,隱藏中)
前往觀看
6
0
惠
B5 · 2024/04/20
推薦的詳解#6072376
未解鎖
(共 1 字,隱藏中)
前往觀看
3
0