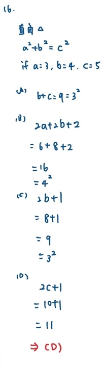
16. 「勾股定理(商高定理)」一詞最早見於「周髀算經」,書中有一段商高回答周公的問題提到「勾廣三,股修四,經隅五」的一段話, 意即邊長為3、4、5的直角三角形。今有一直角三角形,其中兩股長為a和b,斜邊長為c,已知此直角三角形三邊長均為正整數,且a 為質數,則下列哪個選項中的數值不一定為完全平方數?
(A) b + c
(B) 2a +2b +2
(C) 2b +1
(D)2c+1
答案:登入後查看
統計: A(65), B(77), C(87), D(940), E(0) #3128143
統計: A(65), B(77), C(87), D(940), E(0) #3128143
詳解 (共 6 筆)
#6006115
同111 新北
https://app.yamol.tw/item/2927538
其實這句話有瑕疵! 不可能三者都是質數!(像3、4、5這組,4就不是質數) 不過還是先忽略,照常算 
19
0
#5890717
11
0