阿摩線上測驗
登入
首頁
>
教甄◆數學
>
103年 - 屏東縣103學年度國民小學教師甄選試題-數學#16975
> 試題詳解
試題詳解
試卷:
103年 - 屏東縣103學年度國民小學教師甄選試題-數學#16975 |
科目:
教甄◆數學
試卷資訊
試卷名稱:
103年 - 屏東縣103學年度國民小學教師甄選試題-數學#16975
年份:
103年
科目:
教甄◆數學
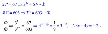
23.設
,求 3x-4y=?
(A)1
(B)-1
(C)2
(D)-2
正確答案:
登入後查看