阿摩線上測驗 登入

試題詳解

試卷:105年 - 105 經濟部所屬事業機構_新進職員甄試_電機(甲)、儀電:1.電路學 2.電子學#60392 | 科目:國營事業◆1.電路學 2.電子學

試卷資訊

試卷名稱:105年 - 105 經濟部所屬事業機構_新進職員甄試_電機(甲)、儀電:1.電路學 2.電子學#60392

年份:105年

科目:國營事業◆1.電路學 2.電子學

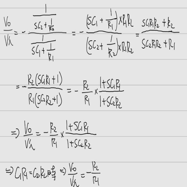
26. 如右圖之電路,在下列哪種條件下,其電壓增益值V ⁄V 與 C1 C2 頻率無關?(OP:理想運算放大器) VI
(A) R1C2 = R2C1 
(B) R1R2 = C1C2
(C) C1 = C2
(D) R1C1 = R2C2phpIODDCq.png

正確答案:登入後查看

詳解 (共 1 筆)

推薦的詳解#5177693
未解鎖
Vo/Vi=-(R2//1/sC2)/(...
(共 112 字,隱藏中)
前往觀看
5
0