阿摩線上測驗
登入
首頁
>
教甄◆數學
>
112年 - 112 花蓮縣國民小學暨幼兒園教師聯合甄選試題:數學#114676
> 試題詳解
試題詳解
試卷:
112年 - 112 花蓮縣國民小學暨幼兒園教師聯合甄選試題:數學#114676 |
科目:
教甄◆數學
試卷資訊
試卷名稱:
112年 - 112 花蓮縣國民小學暨幼兒園教師聯合甄選試題:數學#114676
年份:
112年
科目:
教甄◆數學
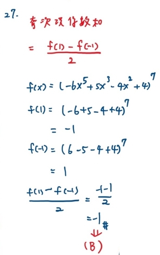
27.f(x)=(−6x
5
+5x
3
−4x
2
+4)
7
,則其奇次項係數和為多少?
(A)−2
(B)−1
(C)0
(D)1
正確答案:
登入後查看
詳解 (共 2 筆)
阿琦
B2 · 2023/06/12
推薦的詳解#5843937
未解鎖
(共 1 字,隱藏中)
前往觀看
28
0
paikeacaro
B1 · 2023/06/07
推薦的詳解#5838062
未解鎖
奇次項係數和為 [f(1)-f(-1)]...
(共 86 字,隱藏中)
前往觀看
10
0