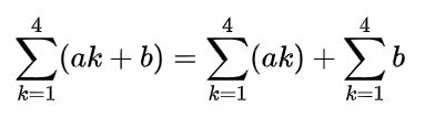
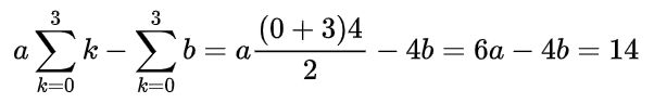
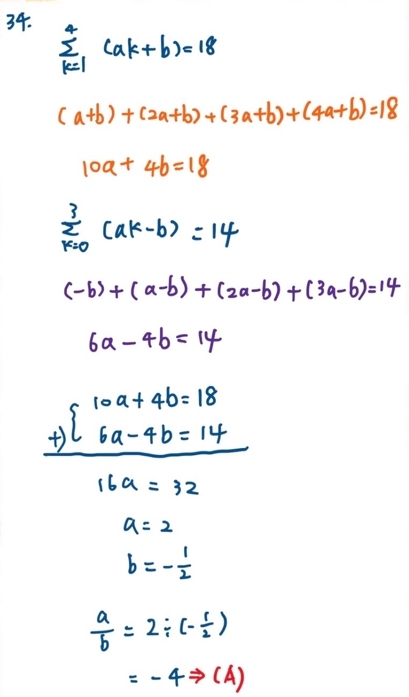
34.若
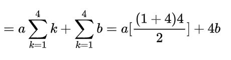
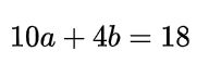
(ak + b) = 18,
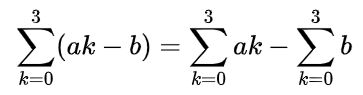
(ak − b)= 14,試求
=?
(A) −4
(B) −1
(C)
(D) 
答案:登入後查看
統計: A(202), B(71), C(87), D(35), E(0) #3113803
統計: A(202), B(71), C(87), D(35), E(0) #3113803
詳解 (共 4 筆)
#5840941
Step 1:第一式



Step 2:第二式


Step 3:兩式解連立,得a=2, b=-1/2,所以a/b=-4
6
0
#5867787
5
0