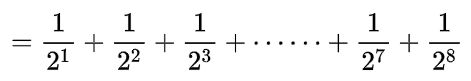
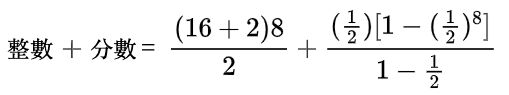
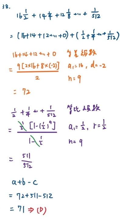
38.計算
(以帶分數表示),則a + b − c =?
(A) 77
(B) 75
(C) 73
(D) 71
答案:登入後查看
統計: A(24), B(60), C(95), D(243), E(0) #3113807
統計: A(24), B(60), C(95), D(243), E(0) #3113807





