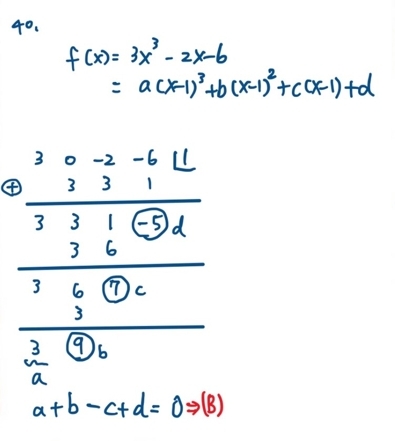
40.設f(x) = 3x3 − 2x − 6,且f(x) = a(x − 1) 3 + b(x − 1) 2 + c(x − 1) + d,則a + b − c + d =?
(A) 22
(B) 0
(C) −2
(D) −4

答案:登入後查看
統計: A(37), B(236), C(101), D(56), E(0) #3113809

詳解 (共 4 筆)

#5842623
f(x) = 3x3 + 0x2 &mi...

(共 80 字,隱藏中)
前往觀看
14
0
#5838537
f(x) = 3x3 − 2x − 6,...
(共 173 字,隱藏中)
前往觀看
12
0
#5867795
10
0
#5859119
f(X)= 3x3 − 2x − 6a(...
(共 271 字,隱藏中)
前往觀看
10
0