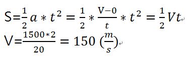
35. 一架飛機起飛需滑行1500 公尺,從飛機靜止狀況以等加速度滑行20 秒起飛,起飛速度為多少公尺/秒?
(A) 140
(B) 150
(C) 160
(D) 170
答案:登入後查看
統計: A(35), B(763), C(61), D(23), E(0) #1917665
統計: A(35), B(763), C(61), D(23), E(0) #1917665
詳解 (共 3 筆)
#3171463

11
1
#5000545
S=V0t+1/2at2
1500=0*20+1/2*a*202
a=7.5
V=V0+at
V=0+7.5*20=150
5
0