阿摩線上測驗
登入
首頁
>
教甄◆數學
>
112年 - 112-1 國立新竹科學園區實驗高級中等學校教師甄選_國小部一般教師:數學#114098
> 試題詳解
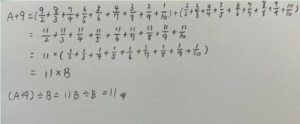
40. 若
,則 ( A + 9) ÷ B = ?
(A) 11
(B) 10
(C) 9
(D) 8
答案:
登入後查看
統計:
A(97), B(59), C(94), D(20), E(0) #3097818
詳解 (共 3 筆)
112應屆上岸,113成功返鄉,謝謝阿摩
B1 · 2023/05/08
#5802560
用借數字的技巧
(共 9 字,隱藏中)
前往觀看
38
0
CJ870318
B2 · 2023/05/09
#5803892
(共 1 字,隱藏中)
前往觀看
12
0
芯
B3 · 2025/08/26
#6624147
1
0
相關試題
1. 以下有四個除法問題,請依照學童的認知發展層次排出發展順序甲、桌上有 9 個月餅,平分給 2 個人,每個人最多可以得到多少月餅?乙、桌上有 8 顆彈珠,平分給 2 個人,每個人最多可以得到多少顆彈珠?丙、桌上有 9 公斤麵粉,平分給 2 個人,每個人最多可以得到多少公斤麵粉?丁、桌上有 9 顆彈珠,平分給 2 個人,每個人最多可以得到多少顆彈珠?還剩下多少顆? (A)甲→乙→丙→丁 (B)乙→甲→丙→丁 (C)甲→丙→乙→丁 (D)乙→丁→甲→丙
#3097779
2. 教師想幫助學童理解「乘除互逆」的意義,下列哪一個布題最不適合? (A)小花有 75 元,他想要買一顆 25 元的球,最多可以買幾顆? (B)小宇每天存一樣多的錢,存了 5 天,共存了 100 元,他一天存多少元? (C)投籃遊戲,投進一球得 3 分,小廷投進一些球,共得到 36 分,他投進幾球? (D)小綺把一條長 160 公分的緞帶,平分剪成幾段時,每段的長剛好是 8 公分?
#3097780
3. 教師請同學試著觀察下圖,並判斷是否都是扇形。有兩位學童的判斷如下:甲生:圖 C 是扇形,因為圖 C 和圖 A 一樣,都有兩條一樣長的線和一個弧。乙生:圖 B 不是扇形,因為圖 B 的陰影部分太大了,角度已經超過 180 度了。請問這兩位學生的回答是否正確? (A)甲生和乙生都正確。 (B)甲生和乙生都有誤。 (C)甲生正確, 乙生有誤。 (D)甲生有誤,乙生正確。
#3097781
4. 教師布了一數學問題:「小明有 3 顆彈珠,媽媽再給他 5 顆彈珠,問他共有幾顆彈珠?」 有一位 學童的作法如下:「我先把 3 記在心裡,再往上數 5 顆彈珠,4、5、6、7、8。」請問這位學童的 作法是處於何種認知運思階段? (A)部分-全體運思 (B)累進性合成運思 (C)比例運思 (D)序列性合成運思
#3097782
5. 圖 1 和圖 2 是學生解決「梯形面積」問題的不同策略,請問需要應用哪些先備知識?甲、梯形的構成要素 乙、梯形的內角和丙、平行四邊形面積 丁、三角形的面積 (A)只有丙、丁 (B)只有乙、丙、丁 (C)只有甲、丙、丁 (D)甲、乙、丙、丁
#3097783
6. 下面是小偉解決「465×897÷465×200」問題的記錄:請問小偉利用什麼運算規約解決?甲、乘法交換律乙、先乘再除和先除再乘的結果相同丙、三個數連乘時,任兩數先相乘,結果都一樣丁、只有乘除時,由左往右算 (A)只有甲、乙 (B)只有乙、丙 (C)只有乙、丁 (D)只有甲、乙、丁。
#3097784
7. 在小學階段的「面積公式」教學中,下列哪些圖形不是透過切割或重組推導出它的面積公式?甲:梯形 乙:三角形 丙:長方形丁:平行四邊形 戊:圓形 己:扇形 (A)只有丙 (B)只有己 (C)只有丙、己 (D)只有乙、丙、己
#3097785
8. 以下是第二學習階段探討平面圖形的一些學習內容:甲、利用邊長命名各種三角形乙、瞭解三角形的內角和是 180°丙、瞭解三角形任兩邊之和大於第三邊丁、平行四邊形的周長相同、面積不同上述哪些內容適合利用「扣條」進行教學? (A) 只有甲 (B) 只有甲、丁 (C) 只有甲、丙 (D) 只有甲、丙、丁
#3097786
9. 教師提出一個布題:「甲、乙兩條緞帶一樣長,且緞帶的長度都超過 1 公尺。甲緞帶用掉了1/2條,乙緞帶用掉了1/2公尺,請問哪條緞帶用掉的部分比較長?」一位學生認為「一樣長」,請問其錯誤原因在於何種迷思概念? (A)通分 (B)整體一概念 (C)單位換算 (D)異分母分數的比較
#3097787
10. 已知「甲÷ 257=38……100」,請問「甲÷ 38 的商及餘數?」,以下為三位學童的解題策略:甲生、利用乘除互逆想法,甲÷38 的商為 257,餘數為 100。乙生、先算出甲=257×38+100,再算出甲÷ 38 的商及餘數丙生、商=257+(100÷38)的商,餘數=(100÷38)的餘數請問哪些解題策略是正確的? (A)只有乙 (B)只有乙、丙 (C)只有甲、乙 (D)甲、乙、丙
#3097788
相關試卷
114年 - 114 國立臺灣藝術大學教育學程招生考試_綜合學科:數學#137131
2025 年 · #137131
114年 - 114 高雄市市立國民小學教師聯合甄選-專長類-普通科目試題:數學#131662
2025 年 · #131662
114年 - 114 澎湖縣國民小學暨附設幼兒園教師/代理教師甄選試題:數學#131655
2025 年 · #131655
114年 - 114 文藻外語大學師資培育中心__國民小學教師教育學程新生甄選試題:學科基本知識-數學#130715
2025 年 · #130715
114年 - 114-1 臺北市立復興高級中學_專任教師甄選試題:數學科#129383
2025 年 · #129383
114年 - 114-2 新竹市國民中學教師聯合甄選初試試題:數學科#128201
2025 年 · #128201
114年 - 114 臺南市市立國民中學_正式教師聯合甄選試題:數學專門科目#128066
2025 年 · #128066
114年 - 114 桃園市國民中學新進教師聯合甄選試題:數學科#127820
2025 年 · #127820
114年 - 114-2 國立嘉義高級中學_教師甄選:數學科#127613
2025 年 · #127613
114年 - 114 中區縣市政府教師甄選策略聯盟:國小數學科#127528
2025 年 · #127528