阿摩線上測驗
登入
首頁
>
台水評價◆基本電學
>
101年 - 101 台灣自來水公司評價職位人員甄試:基本電學#72730
> 試題詳解
試題詳解
試卷:
101年 - 101 台灣自來水公司評價職位人員甄試:基本電學#72730 |
科目:
台水評價◆基本電學
試卷資訊
試卷名稱:
101年 - 101 台灣自來水公司評價職位人員甄試:基本電學#72730
年份:
101年
科目:
台水評價◆基本電學
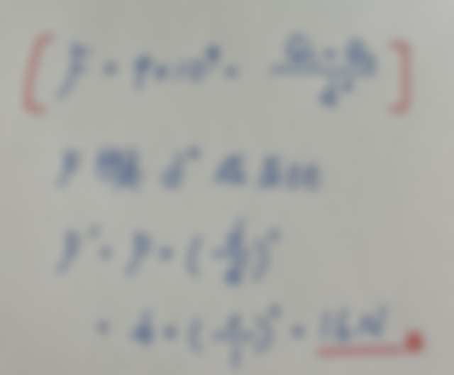
41.實驗室在真空中,有兩個帶正電荷小球體 Q1、Q2 相距 2 公尺,其相互間之排斥力為 4 牛頓;若將 兩小球間之距離靠近至 1 公尺,則此兩小球互相排斥之作用力變為多少牛頓(NT)?
(A) 4
(B) 8
(C) 12
(D) 16
正確答案:
登入後查看
詳解 (共 1 筆)
長貓
B1 · 2019/02/13
推薦的詳解#3196811
未解鎖
F/4=4/1F=16
(共 13 字,隱藏中)
前往觀看
2
0
私人筆記 (共 3 筆)
【給你考運】勞贖
2023/02/24
私人筆記#4906509
未解鎖
個人答案試寫(僅供參考)
(共 12 字,隱藏中)
前往觀看
6
0
Terry Tung
2023/04/21
私人筆記#5041220
未解鎖
(共 0 字,隱藏中)
前往觀看
0
0
J
2023/02/20
私人筆記#4897673
未解鎖
(共 0 字,隱藏中)
前往觀看
0
0