阿摩線上測驗
登入
首頁
>
專技 - 藥劑學(包括生物藥劑學)
>
90年 - 90-1 專技檢覈_藥師:藥劑學#37352
> 試題詳解
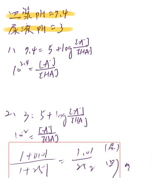
43 有一pKa=5之弱酸性藥物,當尿之pH=3時,尿中藥物/血漿中藥物之比值約多少?
(A) 2/5
(B) 1/125
(C) 1/250
(D) 1/500
答案:
登入後查看
統計:
A(6), B(65), C(22), D(5), E(0) #1079106
詳解 (共 3 筆)
媽!我終於過了!
B3 · 2020/12/01
#4408822
題目已說明為弱酸藥物,所以將數字帶入...
(共 119 字,隱藏中)
前往觀看
7
1
我沒有嘟嘴
B4 · 2025/07/16
#6547534
2
0
Prajñā
B2 · 2018/07/14
#2915263
求解
0
0
相關試題
1 下列何種栓劑是屬於局部性作用(Local effect)的栓劑? (A) Bisacodylsuppositories (B) Aspirin suppositories (C) Promethazine HCl suppositories (D) Chlorprornazine suppositories
#1079064
2 下列那兩項為槌式研磨機(Hammer Mills)達到降低粒子大小之最主要機制?①滾動②撞擊③磨擦④輾壓 (A) ①③ (B) ②③ (C) ①② (D) ②④
#1079065
3 硬明膠膠囊劑不適合充填下列那一種內容物? (A) 水溶液 (B) 粉末 (C) 顆粒 (D) 小錠
#1079066
4 對一般乳劑安定性較為適宜的溫度為多少℃? (A) 60 (B) 5 (C) -5 (D) -20
#1079067
5 下列關於錠劑製備之敘述,何者錯誤? (A) 錠劑硬度受到許多因素影響,其中最重要者為壓力及粒徑 (B) 對簡單之結晶而言,錠劑之硬度隨著粒徑降低而增加 (C) 添加潤滑劑有時亦會降低錠劑之硬度 (D) 錠劑之硬度與粒子在壓力下之變形機制並沒有關係
#1079068
6 下列那些製藥用研磨機(Mills)有粒子篩選裝置,可使經研磨過之粉體力子不致過大:①Bail Mills ②Hammer Mills ③Fluid-energy Mills ④Roller Mills (A) ①② (B) ②③ (C) ③④ (D) ①④
#1079069
7 栓劑成品之品管檢測通常不包括下列何項? (A) Fragility (B) Content of drug (C) Melting point (D) Disintegration time
#1079070
8 依中華藥典規定,錠劑之崩散度試驗一次完整的試驗最少需錠劑幾粒? (A) 3 (B) 6 (C) 12 (D) 18
#1079071
9 下列有關植物性藥粉粗粉(Coarse powder)之敘述,何者正確? (A) 所有粉體必須通過20號篩;通過60號篩不得超過40% (B) 所有粉體必須通過20號篩;通過40號篩不得超過40% (C) 所有粉體必須通過20號篩;通過80號篩不得超過40% (D) 所有粉體必須通過20號篩;通過100號篩不得超過40%
#1079072
10 在USPXXII中試驗腸溶衣產品的溶離媒液為:①水 ②0.1N HCl ③pH6.8緩衝液 (A) ① (B) ③ (C) ①② (D) ②③
#1079073
相關試卷
115年 - 115-1 專技高考_藥師(一):藥學(三)(包括藥劑學與生物藥劑學)#137354
2026 年 · #137354
114年 - 114-2 專技高考_藥師(一):藥學(三)(包括藥劑學與生物藥劑學)#128925
2025 年 · #128925
114年 - 114-1 專技高考_藥師(一):藥學(三)(包括藥劑學與生物藥劑學)#125120
2025 年 · #125120
113年 - 113-2 專技高考_藥師(一):藥劑學與生物藥劑學#121688
2024 年 · #121688
113年 - 113-1 專技高考_藥師(一):藥劑學與生物藥劑學#118720
2024 年 · #118720
112年 - 112-2 專技高考_藥師(一):藥劑學與生物藥劑學#115916
2023 年 · #115916
112年 - 112-1 專技高考_藥師(一):藥劑學與生物藥劑學#113163
2023 年 · #113163
111年 - 111-2 專技高考_藥師(一):藥劑學與生物藥劑學#109900
2022 年 · #109900
111年 - 111-1 專技高考_藥師(一):藥劑學與生物藥劑學#106169
2022 年 · #106169
110年 - 110-2 專技高考_藥師(一):藥劑學與生物藥劑學#100434
2021 年 · #100434