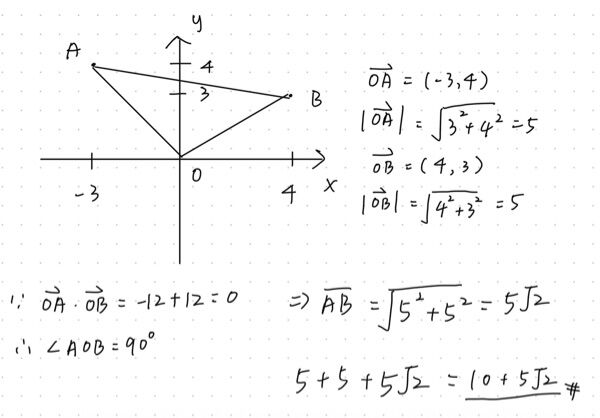
45. 在座標平面上,O 為座標原點,A、B 為平面上兩點,A 點座標為(-3,4),B 點座標為(4,3),請問△OAB 的周長 為何?
(A)15
(B)15√2
(C)10+5√2
(D)5+10√2
答案:登入後查看
統計: A(12), B(28), C(484), D(21), E(0) #3439965
統計: A(12), B(28), C(484), D(21), E(0) #3439965
詳解 (共 8 筆)
#6427216

17
0
#6427484

8
0
#7096506

3
0
#6476464
AO線段與BO線段是10
唯一要小心的是AB線段
ㅤㅤ
0
0