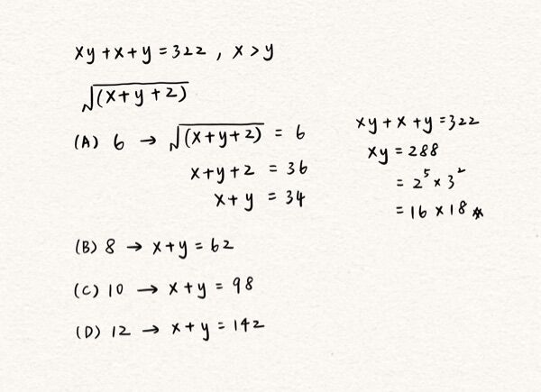
55. 若 x、y 都是正整數,且 x >y,xy+x+y=322,求
之值?
(A) 6
(B) 8
(C) 10
(D) 12 3A05
答案:登入後查看
統計: A(264), B(102), C(102), D(59), E(0) #3241565
統計: A(264), B(102), C(102), D(59), E(0) #3241565
詳解 (共 7 筆)
#6112121
直接帶數字比較快

29
10
#6336369
( 1+x )( 1+y ) =xy +x + y+ 1= 322+1 =323
323因數分解= 19 × 17
( 1+x ) ( 1+y ) =19 ×17
求出x=18、y=16
ㅤㅤ
14
0
#6399233


3
0