阿摩線上測驗
登入
首頁
>
技檢◆電腦軟體設計共同科目
>
115年 - 90004 電腦軟體設計共同科目 乙級 工作項目 07:資料結構 51-100(2026/01/14 更新)#136865
> 試題詳解
試題詳解
試卷:
115年 - 90004 電腦軟體設計共同科目 乙級 工作項目 07:資料結構 51-100(2026/01/14 更新)#136865 |
科目:
技檢◆電腦軟體設計共同科目
試卷資訊
試卷名稱:
115年 - 90004 電腦軟體設計共同科目 乙級 工作項目 07:資料結構 51-100(2026/01/14 更新)#136865
年份:
115年
科目:
技檢◆電腦軟體設計共同科目
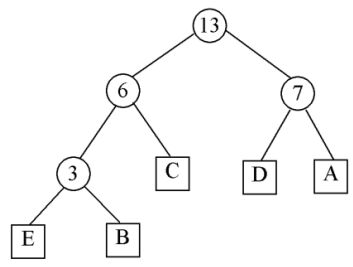
56. 下圖為一延伸二元樹(Extended Binary Tree),其中圓形節點表內節點(Internal Node),方形節點代表外節點(External Node),其外路徑長(External Path Length) 是多少?
(A)7
(B)12
(C)16
(D)17 。
正確答案:
登入後查看